১) 'শির নেহারি' আমারি, নতশির ওই শিখর হিমাদ্রির।' এখানে 'নেহারি' শব্দের অর্থ কী?
নীহারিকা
উচ্চ
দেখে
ধরে
দেখে
ব্যাখ্যা:
'নেহারি' শব্দের অর্থ: দেখে; প্রত্যক্ষ করে।
------------------------------------
• "শির নেহারি' আমারি নতশির ওই শিখর হিমাদ্রির!" বাক্যেটি কাজী নজরুল ইসলামের বিদ্রোহী কবিতার অন্তর্গত।
বাক্যটির অর্থ:
'শির' শব্দের অর্থ হলো= মাথা বা মস্তক,
’নেহারি’ শব্দের অর্থ- দেখে; প্রত্যক্ষ করে।
'আমারি' শব্দের অর্থ= আমার,
'নতশির' অর্থাৎ = নত-মস্তক,
'শিখর' শব্দের অর্থ চূড়া
'হিমাদ্রি' এখানে হিমালয় অর্থে ব্যবহৃত।
- শব্দগুলোর অর্থের সমন্বয় বাক্যটির অর্থ দাঁড়ালো :আমার মাথা দেখে হিমালয়ের চূড়াও নতমস্তক।
- এখানে কবির প্রবল আত্নবিশ্বাস ফুটে উঠেছে যার জন্য হিমালয় ও তার কাছে মাথা নত করে।
উৎস: একাদশ-দ্বাদশ শ্রেণির সাহিত্যপাঠ, ২০২২-২০২৩ শিক্ষাবর্ষ।
২) 'তিনি বিশ্বাস অর্জন করেছেন।' এখানে 'অর্জন করা'কোন ধরনের ক্রিয়া?
সরল ক্রিয়া
প্রযোজক ক্রিয়া
যৌগিক ক্রিয়া
মিশ্র ক্রিয়া
মিশ্র ক্রিয়া
ব্যাখ্যা:
• 'তিনি বিশ্বাস অর্জন করেছেন।' এখানে 'অর্জন করা' এটি একটি মিশ্র ক্রিয়া।
- ক্রিয়াটি [কর্] ধাতুযোগে গঠিত।
মিশ্র ক্রিয়া:
- বিশেষ্য, বিশেষণ ও ধ্বনাত্মক অব্যয়ের সঙ্গে কর্, হ্, দে, পা, যা, কাট্, গা, ছাড়, ধর্, মার্, প্রভৃতি ধাতুযোগে গঠিত ক্রিয়াপদ বিশেষ বিশেষ অর্থে মিশ্র ক্রিয়া গঠন করে।
যেমন:
দর্শন করা,
প্রীত হওয়া,
গান গাওয়া।
অনুরূপ - অর্জন করা।
অন্যদিকে,
• যৌগিক ক্রিয়া:
যে ক্রিয়া একটি অসমাপিকা ও একটি সমাপিকা ক্রিয়া মিলে গঠিত হয়, তাকে যৌগিক ক্রিয়া বলে।
যেমন: এগিয়ে চলা, হেসে ওঠা, সরে দাঁড়ানাে ইত্যাদি।
প্রশ্নোক্ত বাক্যটিতে কোন অসমাপিকা না থাকায় যৌগিক ক্রিয়ার উদাহরণ হিসেবে গণ্য হবেনা।
• প্রযোজক ক্রিয়া:
যে ক্রিয়া একজনের প্রযোজনা বা চালনায় অন্য কর্তৃক অনুষ্ঠিত হয়, সেই ক্রিয়াকে প্রযোজক ক্রিয়া বলে।
যেমন : মা শিশুকে চাঁদ দেখাচ্ছেন।
উৎস: বাংলা ভাষার ব্যাকরণ ও নির্মিতি নবম ও দশম শ্রেণি ২০২৫ সালের সংস্করণ।
৩) 'তমদ্দুন মজলিশ' কে প্রতিষ্ঠা করেন?
প্রিন্সিপাল আবুল কাশেম
ড. মুহম্মদ শহীদুল্লাহ্
আবদুল কাদির
আবুল মনসুর আহমদ
প্রিন্সিপাল আবুল কাশেম
ব্যাখ্যা:
• তমদ্দুন মজলিশ:
- তমদ্দুন মজলিশ ইসলামী আদর্শাশ্রয়ী একটি সাহিত্য ও সাংস্কৃতিক সংগঠন।
- দেশে ইসলামী আদর্শ ও ভাবধারা সমুন্নত করার প্রত্যয় নিয়ে ভারত বিভাগের অব্যবহিত পরেই ঢাকায় গড়ে উঠে এই সংগঠনটি।
- ঢাকা বিশ্ববিদ্যালয়ের পদার্থবিজ্ঞান বিভাগের অধ্যাপক আবুল কাশেমের উদ্যোগে ১৯৪৭ সালের ১ সেপ্টেম্বর এটি প্রতিষ্ঠিত হয়।
- প্রতিষ্ঠার পর এর প্রথম পর্বে তমদ্দুন মজলিশের ব্যাপক তৎপরতা লক্ষ্য করা যায়।
- মজলিশের উদ্যোগ ও ব্যবস্থাপনায় সারা বছর আলোচনা সভা, সেমিনার, বিতর্ক, নাট্যাভিনয়, সাংস্কৃতিক অনুষ্ঠান ও সম্মেলন অনুষ্ঠিত হতো।
- এর নিয়মিত কর্মসূচির অন্তর্ভুক্ত ছিল বিভিন্ন বিষয়ে পুস্তক-পুস্তিকা ও প্রচারপত্র প্রকাশ।
- তমদ্দুন মজলিশের বাংলা মুখপত্র সাপ্তাহিক সৈনিক প্রথম প্রকাশিত হয় ১৯৪৮ সালের ১৪ নভেম্বর।
- তমদ্দুন মজলিশ ১৯৪৭ সালের ১৫ সেপ্টেম্বর ‘পাকিস্তানের রাষ্ট্রভাষা বাংলা না উর্দু’ শিরোনামে অধ্যাপক আবুল কাশেম সম্পাদিত একটি পুস্তিকা প্রকাশ করে।
- এ ঐতিহাসিক পুস্তিকায় সন্নিবেশিত নিবন্ধগুলোতে এদের লেখক কাজী মোতাহার হোসেন, আবুল মনসুর আহমদ ও অধ্যাপক আবুল কাশেম বাংলাকে পূর্ব বাংলায় শিক্ষার একমাত্র মাধ্যম, - অফিস ও আদালতের ভাষা হিসেবে প্রতিষ্ঠার পক্ষে জোরালো বক্তব্য রাখেন।
উৎস: বাংলাপিডিয়া।
৪) কোন বানানটি প্রমিত নয়?
মুমূর্ষু
বারিধারা
পঞ্চাঙ্ক
নিরব
নিরব
ব্যাখ্যা:
লাইভ পরীক্ষা চলাকালীন সময়ে প্রশ্নের অপশনে ভুল ছিল।
পরবর্তীতে বিষয়টি নজরে আসায় সংশোধন করে দেওয়া হয়েছে।
------------------
বাংলা একাডেমি, আধুনিক বাংলা অভিধান অনুসারে,
প্রমিত বানান = পঞ্চাঙ্ক ।
পঞ্চাঙ্ক শব্দের অর্থ: পাঁচ অঙ্কবিশিষ্ট (পঞ্চাঙ্ক নাটক)।
প্রমিত বানান = মুমূর্ষু।
মুমূর্ষু অর্থ: মৃত্যুকাল আসন্ন এমন, মরণাপন্ন, মৃতপ্রায়।
প্রমিত বানান = বারিধারা।
বারিধারা শব্দের অর্থ: জ;-প্রবাহ।
অন্যদিকে, 'নিরব' বানানটি অশুদ্ধ।
•’নিরব’ প্রমিত বানান = নীরব।
উৎস: বাংলা একাডেমি, আধুনিক বাংলা অভিধান।
৫) 'যদ্যপি' শব্দের অর্থ কী?
যতক্ষণ
যখন
যদিও
যথার্থ
যদিও
ব্যাখ্যা:
বাংলা একাডেমি, আধুনিক বাংলা অভিধান অনুসারে,
’যদ্যপি’ শব্দের উচ্চরণ জোদোপি।
শব্দটির অর্থ:
অব্য,
যদিও।
একান্তই যদি।
অন্যদিকে,
’যতক্ষণ’ শব্দের অর্থ: যে সময় পর্যন্ত।
’যথার্থ’ শব্দের অর্থ: যোগ্য।
’যখন’ শব্দের অর্থ: যে সময় ।
উৎস: বাংলা একাডেমি, আধুনিক বাংলা অভিধান।
৬) 'He flew Into a rage.' - এর বাংলা কী?
সে উন্মাদ হয়ে গেল।
সে রাগে ফেটে পড়ল।
সে খুশিতে উড়ছিল।
সে ভীষণ কষ্ট পেল।
সে রাগে ফেটে পড়ল।
ব্যাখ্যা:
'He flew Into a rage.' - এর বাংলা: সে রাগে ফেটে পড়ল।
---------------------------------------------
উল্লেখ্য,
Fly into a rage, একটি idiom.
এর অর্থ-
to suddenly become very angry: (রাগে জ্বলে ওঠা, হটাৎ ক্ষেপে যাওয়া)।
উৎস: cambridge dictionary.
৭) 'কারক' ব্যাকরণের কোন অংশের আলোচ্য বিষয়?
ধ্বনিতত্ত্ব
রূপতত্ত্ব
বাক্যতত্ত্ব
অর্থতত্ত্ব
বাক্যতত্ত্ব
ব্যাখ্যা:
'কারক' ব্যাকরণের বাক্যতত্ত্ব অংশের আলোচ্য বিষয়।
-------------------------------------------
বাক্যতত্ত্ব:
বাক্যতত্ত্বে বাক্য নিয়ে আলোচনা করা হয়। বাক্যের নির্মাণ এবং এর গঠন বাক্যতত্ত্বের মূল আলোচ্য।
বাক্যের মধ্যে পদ ও বর্গ কীভাবে বিন্যস্ত থাকে, বাক্যতত্ত্বে তা বর্ণনা করা হয়।
এছাড়া এক ধরনের বাক্যকে অন্য ধরনের বাক্যে রূপান্তর, বাক্যের বাচ্য, উক্তি ইত্যাদি বাক্যতত্ত্বের আলোচ্য বিষয়।
কারক বিশ্লেষণ, বাক্যের যোগ্যতা, বাক্যের উপাদান লোপ, যতিচিহ্ন প্রভৃতিও বাক্যতত্ত্বে আলোচিত হয়ে থাকে।
উৎস: বাংলা ভাষার ব্যাকরণ ও নির্মিতি নবম ও দশম শ্রেণি ২০২৫ সালের সংস্করণ।
৮) 'সংযতবাক' অর্থে কোনটি ব্যবহৃত হয়?
বাগ্মী
স্পষ্টভাষী
প্রগলভ
মিতভাষী
মিতভাষী
ব্যাখ্যা:
বাংলা একাডেমি, আধুনিক বাংলা অভিধান অনুসারে,
'সংযতবাক' একটি সংস্কৃত শব্দ।
শব্দটির অর্থ: স্বল্পভাষী, মিতভাষী।
অন্যদিকে,
’বাগ্মী’ শব্দের অর্থ: বানিপুণ, বাকপটু, সুবক্তা।
’স্পষ্টভাষী’ শব্দের অর্থ: স্পষ্টবক্তা।
’প্রগলভ’ শব্দের অর্থ: বাচাল।
উৎস: বাংলা একাডেমি, আধুনিক বাংলা অভিধান।
৯) কোন শব্দে স্বরে-ব্যঞ্জনে সন্ধি হয়েছে?
মহর্ষি
গবাদি
দিগন্ত
পরিচ্ছেদ
পরিচ্ছেদ
ব্যাখ্যা:
• স্বরে-ব্যঞ্জনে সদ্ধি হয়েছে- পরিচ্ছেদ।
পরি+ছেদ = পরিচ্ছেদ।
- এটি একটি ব্যঞ্জন সন্ধির উদাহরণ।
ব্যঞ্জনসন্ধি
স্বরে-ব্যঞ্জনে, ব্যঞ্জনে-স্বরে ও ব্যঞ্জনে-ব্যঞ্জনে যে সন্ধি হয়, তাকে ব্যঞ্জনসন্ধি বলে।
যেমন
(স্বর+ব্যঞ্জন)
পরি+ছেদ = পরিচ্ছেদ।
অন্যদিকে,
(ব্যঞ্জন + স্বর) গঠিত ব্যঞ্জন সন্ধির উদাহরণ:
দিক্ + অন্ত =দিগন্ত,
স্বরসন্ধি উদাহরণ:
গো + আদি = গবাদি,
মহা + ঋষি = মহর্ষি,
উৎস: বাংলা ভাষার ব্যাকরণ ও নির্মিতি নবম ও দশম শ্রেণি ২০২৫ সালের সংস্করণ।
১০) 'মার্কা' কোন ভাষার শব্দ?
পর্তুগিজ
গ্রিক
স্প্যানিশ
জার্মান
জার্মান
ব্যাখ্যা:
বাংলা একাডেমি, আধুনিক বাংলা অভিধান অনুসারে মার্কা শব্দটি ইংরেজি mark শব্দ থেকে এসেছে।

Merriam-Webster Dictionary অনুসারে, ইংরেজি ’Mark’ শব্দের
মূল উৎস জার্মান শব্দ Marcōn. যা সীমানা চিহ্ন অর্থ প্রকাশ করে।
তাই অপশন অনুসারে সঠিক উত্তর হবে -
ঘ) জার্মান।উল্লেখ্য
প্রাগ‑জার্মানিক পর্যায়ে ‘সীমানা নির্দেশক খুঁটি বা দাগ’‑এর ধারণা থেকে শব্দটি পুরোনো ইংরেজিতে (Old English Period: 450-1066) Mearc এ রুপান্তরিত হয়, যা পরবর্তীতে আধুনিক ইংরেজি ভাষায় Mark‑এ পরিণত হয়।
পরে ‘সীমানা‑দাগ’ অর্থ প্রসারিত হয়ে ‘নিশান/চিহ্ন/স্কোর/ব্র্যান্ড‑লোগো’ ইত্যাদি অর্থ নিয়েছে।
উৎস: Meriam-Webster Dictionary, Cambridge Dictionary, এবং বাংলা একাডেমি, আধুনিক বাংলা অভিধান।
১১) নিচের কোনটি 'অস্তিত্ব' বা 'বিদ্যমানতা' অর্থে প্রযোজ্য?
সত্তা
স্বত্ব
স্বত্তা
সত্য
সত্তা
ব্যাখ্যা:
বাংলা একাডেমি, আধুনিক বাংলা অভিধান, অনুসারে,
’সত্তা’ শব্দের অর্থ: অস্তিত্ব (ব্যক্তিসত্তা)।
---------------------------------------------
অন্যদিকে,
’স্বত্ব’ শব্দের অর্থ: বিষয়সম্পত্তি ব্যবসায় প্রভৃতিতে অধিকার বা মালিকানা (গ্রন্থস্বত্ব)।
স্বত্তা’ একটি ভুল শব্দ, সঠিক বানান,= সত্তা।
’সত্য’ শব্দের অর্থ: মিথ্যা নয়।
উৎস: বাংলা একাডেমি, আধুনিক বাংলা অভিধান।
১২) নিচের কোন শব্দজোড় সমার্থক নয়?
দীপ - দ্যুতি
তোড়া-গুচ্ছ
আবৃত - আচ্ছাদিত
খরা - রৌদ্র
দীপ - দ্যুতি
ব্যাখ্যা:
বাংলা একাডেমি, আধুনিক বাংলা অভিধান, অনুসারে,
শব্দজোড় সমার্থক নয়: দীপ - দ্যুতি।
’দীপ’ শব্দের অর্থ: প্রদীপ।
’ দ্যুতি’ শব্দের অর্থ: আলো, কিরণ, জ্যোতি দীপ্তি।
অন্যদিকে,
’তোড়া’ শব্দের সমার্থক শব্দ: গোছা, স্তবক (ফুলের তোড়া)।
’আবৃত’ শব্দের সমার্থক শব্দ: আচ্ছাদিত।
’খরা’ শব্দের সমার্থক শব্দ: অনাবৃষ্টি। রৌদ্র।
উৎস: বাংলা একাডেমি, আধুনিক বাংলা অভিধান।
১৩) 'ঈপ্সা'-এর বিপরীত শব্দ কোনটি?
লিপ্সা
বাঞ্ছা
আকাঙ্ক্ষা
অনিচ্ছা
অনিচ্ছা
ব্যাখ্যা:
'ঈপ্সা'-এর বিপরীত শব্দ- অনিচ্ছা।
বাংলা একাডেমি, আধুনিক বাংলা অভিধান, অনুসারে,
• ঈপ্সা শব্দের অর্থ:
- পাওয়ার ইচ্ছা,
- আকাঙ্ক্ষা,
- বাঞ্ছা;
- লিপ্সা।
উৎস: বাংলা একাডেমি, আধুনিক বাংলা অভিধান।
১৪) নিচের কোনটি উপন্যাস?
'খোঁয়ারি'
'দুধভাতে উৎপাত'
'খোয়াবনামা'
'দোজখের ওম'
'খোয়াবনামা'
ব্যাখ্যা:
'খোয়াবনামা':
- ’খোয়াবনামা’ কথাসাহিত্যিক আখতারুজ্জামান ইলিয়াসের দ্বিতীয় এবং সর্বশেষ উপন্যাস।
- গ্রাম বাংলার নিন্মবিত্ত শ্রমজীবী মানুষের জীবনলেখ্যসহ ফকির-সন্ন্যাসী বিদ্রোহ বিষয়ক বিভিন্ন শ্রুতি বা লোককথা, জোতদারি সমাজব্যবস্থা, তেভাগা আন্দোলন, দেশভাগ ও মুসলিম লীগের রাজনীতি, হিন্দু-মুসলিম সাম্প্রদায়িক সম্পর্ক ও সংকট প্রবৃত্তি এই উপন্যাসে নিপুণভাবে উপস্থিত করা হয়েছে।
অন্যদিকে,
- খোঁয়ারি, 'দুধে ভাতে উৎপাত, 'দোজখের ওম'': আখতারুজ্জামান ইলিয়াস রচিত গল্পগ্রন্থ।
আখতারুজ্জামান ইলিয়াস:
- ১৯৪৩ সালের ১২ ফেব্রুয়ারি গাইবান্ধা জেলার গোটিয়া গ্রামে মাতুলালয়ে তাঁর জন্ম।
- তাঁর পৈতৃক নিবাস বগুড়া শহরের নিকটবর্তী চেলোপাড়ায়।
- তিনি কথাসাহিত্যিক হিসেবে বিশেষ খ্যাতি অর্জন করেন। তাঁর লেখায় সমাজবাস্তবতা ও কালচেতনা গভীরভাবে প্রতিফলিত হয়েছে।
- বিশেষত, তাঁর রচনাশৈলীর ক্ষেত্রে যে স্বকীয় বর্ণনারীতি ও সংলাপে কথ্যভাষার ব্যবহার লক্ষণীয় তা সমগ্র বাংলা কথাশিল্পে অনন্যসাধারণ।
আখতারুজ্জামান ইলিয়াস রচিত উপন্যাস:
- চিলেকোঠার সেপাই,
- খোয়াবনামা।
উৎস: বাংলা ভাষা ও সাহিত্য জিজ্ঞাসা, ড. সৌমিত্র শেখর; বাংলাপিডিয়া।
১৫) কোনটি উপমান কর্মধারয় সমাসে নিষ্পন্ন?
সংবাদপত্র
পলান্ন
শশব্যস্ত
দেহলতা
শশব্যস্ত
ব্যাখ্যা:
উপমান কর্মধারয় সমাসে নিষ্পন্ন = শশব্যস্ত।
’শশব্যস্ত’ ব্যাসবাক্য হচ্ছে শশকের মতো ব্যস্ত।
• উপমান কর্মধারয়:
- উপমান অর্থ তুলনীয় বস্তু। প্রত্যক্ষ কোনো বস্তুর সাথে পরোক্ষ কোনো বস্তুর তুলনা করলে প্রত্যক্ষ বস্তুটিকে বলা হয় উপমেয়, আর যার সঙ্গে তুলনা করা হয়েছে তাকে বলা হয় উপমান। উপমান ও উপমেয়ের একটি সাধারণ ধর্ম থাকবে।
সাধারণ ধর্মবাচক পদের সাথে উপমানবাচক পদের যে সমাস হয়, তাকে উপমান কর্মধারয় সমাস বলে।
যথা-
তুষারের ন্যায় শুভ্র = তুষারশুভ্র,
অরুণের ন্যায় রাঙা = অরুণরাঙা।
অন্যদিকে,
’সংবাদপত্র’ পলান্ন, মধ্যপদলোপী কর্মধারয় সমাস।
’দেহলতা’ রূপক কর্মধারয় সমাস।
উৎস: বাংলা ভাষার ব্যাকরণ ও নির্মিতি নবম ও দশম শ্রেণি ২০২৫,২০১৯ সালের সংস্কারণ।
১৬) 'সংসারের প্রতি বিরাগ' এককথায় কী হবে?
নির্বেদ
নির্মোক
সংসৃতি
নভশ্চর
নির্বেদ
ব্যাখ্যা:
'সংসারের প্রতি বিরাগ' এককথায় = নির্বেদ।
অন্যদিকে,
’নির্মোক’ অর্থ: সাপের খোলস, বর্ম, আকাশ, মোচন।
’সংসৃতি’ অর্থ: সহগমন।২ প্রবাহ, স্রোত। ৩ সংসার।
’নভশ্চর’ অর্থ: মহাশূন্যে বৈজ্ঞানিক পরীক্ষানিরীক্ষা পরিচালনের জন্য বিশেষ-ভাবে প্রশিক্ষিত গবেষক।
উৎস: বাংলা একাডেমি, আধুনিক বাংলা অভিধান।
১৭) কপট বা ভণ্ড অর্থে কোন বাগধারাটি সঠিক?
বর্ণচোরা
লেফাফা দূরন্ত
চশমখোর
তীর্থের কাক
বর্ণচোরা
ব্যাখ্যা:
’বর্ণচোরা’ বাগধারাটির অর্থ: কপট বা ভণ্ড।
’তীর্থের কাক’ বাগধারাটির অর্থ: সাগ্রাহে প্রতিক্ষাকারী।
’চশমখোর’ বাগধারাটির অর্থ: নির্লজ্জ।
’লেফাফা দূরন্ত ’ বাগধারাটির অর্থ: পরিপাটি।
উৎস: ভাষা-শিক্ষা ড. হায়াৎমামুদ।
১৮) 'বাচ্যার্থ' শব্দের কোন ধরনের অর্থ প্রকাশ করে?
গৌণ
মুখ্য
পরোক্ষ
সমার্থ
মুখ্য
ব্যাখ্যা:
বাংলা একাডেমি, আধুনিক বাংলা অভিধান অনুসারে,
বাচ্যার্থ শব্দের অর্থ:
শব্দের স্বাভাবিক অর্থ, মুখ্য অর্থ, অভিহিত অর্থ।
- এটি একটি বিশেষ্য পদ।
উৎস: বাংলা একাডেমি, আধুনিক বাংলা অভিধান।
১৯) আবুল হোসেনের প্রথম কাব্য কোনটি?
'নববসন্ত’
'বিরস সংলাপ'
'হাওয়া, তোমার কী দুঃসাহস'
'দুঃস্বপ্ন থেকে দুঃস্বপ্নে
'নববসন্ত’
ব্যাখ্যা:
• আবুল হুসেন:
- আবুল হুসেন একজন প্রাবন্ধিক, চিন্তাবিদ, সমাজ সংস্কারক ছিলেন।
- আবুল হুসেন মুসলমান সমাজে আধুনিক শিক্ষা ও জ্ঞানের আলো বিস্তারের উদ্দেশ্যে লেখনী পরিচালনা করেন।
- মুসলিম কবিদের মধ্যে তিনিই প্রথম আধুনিকতার বৈশিষ্ট্য কাব্যে রূপায়িত করে তুলেন।
- তাঁর প্রথম কাব্য- ’নব বসন্ত’।
তাঁর রচিত অন্যান্য কাব্যগ্রন্থগুলো:
- বিরস সংলাপ।
- হাওয়া,
- তোমার কি দু:সাহস।
- দু:স্বপ্ন থেকে দু:স্বপ্ন।
- এখন ও সময় আছে।
- নির্বাচিত কবিতা।
- রাজারাজড়া।
উৎস: বাংলা সাহিত্যের ইতিহাস, মাহবুবুল আলম।
২০) কায়কোবাদের 'মহাশ্মশান' কত সালে প্রকাশিত হয়?
১৮৫৭
১৮৭০
১৯০০
১৯৫১
প্রশ্নটি বাতিল করা হয়েছে
ব্যাখ্যা:
• অপশনে সঠিক উত্তর না থাকায় প্রশ্নটি বাতিল করা হলো।
কায়কোবাদের 'মহাশ্মশান' কত সালে প্রকাশিত হয় তা নিয়ে দ্বিমত রয়েছে ;
• বাংলাপিডিয়া এবং বাংলা সাহিত্যের ইতিহাস, মাহবুবুল আলম- অনুসারে 'মহাশ্মশান' প্রথম প্রকাশিত হয় -১৯০৪ সালে।
• বাংলা ভাষা ও সাহিত্য জিজ্ঞাসা, ড. সৌমিত্র শেখর; অনুসারে 'মহাশ্মশান' প্রথম প্রকাশিত হয় -১৯০৫ সালে।
উল্লেখ্য,
• মহাশ্মশান:
- মহাশ্মশান কায়কোবাদ রচিত বাংলা মহাকাব্য।
- এর উপজীব্য ১৭৬১ সালে সংঘটিত পানিপথের তৃতীয় যুদ্ধ।
- এ যুদ্ধ ছিল ভারতের উদীয়মান হিন্দুশক্তি মারাঠাদের সঙ্গে মুসলিমশক্তি তথা আহমদ শাহ আবদালীর নেতৃত্বে রোহিলা-অধিপতি নজীবউদ্দৌলার শক্তিপরীক্ষা।
- যুদ্ধে মুসলমানদের জয় হলেও কবির দৃষ্টিতে তা ছিল উভয়েরই শক্তিক্ষয় ও ধ্বংস,এজন্যই তিনি একে ‘মহাশ্মশান’ বলেছেন।
- যুদ্ধকাহিনীর মধ্যে অনেকগুলি প্রণয়বৃত্তান্ত স্থান পেয়েছে।
- মহাশ্মশান কাব্যে মোট তিনটি খন্ড রয়েছে।
- প্রথম খন্ড ১৯ সর্গ, দ্বিতীয় খন্ড ২৪ সর্গ এবং তৃতীয় খন্ড ৭ সর্গে সমাপ্ত।
- কাব্যের প্রারম্ভে আছে ‘কবির বীণা ও কল্পনা’ এবং ‘আল্লাহু আকবর’ নামক বন্দনা অংশ।
- এছাড়াও ‘এব্রাহিম কার্দ্দি ও জোহরা বেগমের বাল্য জীবনের এক অধ্যায়’ শীর্ষক একটি সর্গ আছে।
উৎস: বাংলাপিডিয়া এবং বাংলা সাহিত্যের ইতিহাস, মাহবুবুল আলম, বাংলা ভাষা ও সাহিত্য জিজ্ঞাসা, ড. সৌমিত্র শেখর।
২১) কোন শব্দে দ্বিওষ্ঠ্য ধ্বনি রয়েছে?
বল
ঘাস
জাল
তাল
বল
ব্যাখ্যা:
’বল’ শব্দে দ্বিওষ্ঠ্য ধ্বনি রয়েছে।
----------------------------------
• ওষ্ঠ্য ব্যঞ্জন:
- যেসব ব্যঞ্জনধ্বনি উচ্চারণের সময়ে ঠোঁট দুটি কাছাকাছি এসে বায়ুপথে বাধা সৃষ্টি করে, সেগুলোকে ওষ্ঠ্য ব্যঞ্জন বলে।
এগুলো দ্বি-ওষ্ঠ্য ধ্বনি নামেও পরিচিত।
পাকা, ফল, বাবা, ভাই, মা প্রভৃতি শব্দের প, ফ, ব, ভ, ম ওষ্ঠ্য ব্যঞ্জনধ্বনির উদাহরণ।
’ঘাস’ শব্দে কণ্ঠ্য ব্যঞ্জন রয়েছে।
’জাল’ শব্দে তালব্য ব্যঞ্জন রয়েছে।
’তাল’ শব্দে দন্ত্য ব্যঞ্জন রয়েছে।
উৎস: বাংলা ভাষার ব্যাকরণ ও নির্মিতি, ৯ম-১০ম শ্রেণি, ২০২৫ সালের সংস্করণ।
২২) নিচের কোন বাক্যটি শুদ্ধ নয়?
অন্যায়ের প্রতিফল অনিবার্য।
অল্পজ্ঞান বিপজ্জনক।
সে ভীষণ বিপদগ্রস্থ।
কাব্যটির ভাষায় দীনতা আছে।
সে ভীষণ বিপদগ্রস্থ।
ব্যাখ্যা:
অশুদ্ধ বাক্য = সে ভীষণ বিপদগ্রস্থ।
শুদ্ধ বাক্য = সে ভীষণ বিপদগ্রস্ত।
বাক্যটি বানান জনিত ভুল।
’বিপদগ্রস্থ’ শব্দের সঠিক বানান = বিপদগ্রস্ত।
অপশনে উল্লেখিত বাকি বাক্যগুলো শুদ্ধ।
উৎস: বাংলা একাডেমি, আধুনিক বাংলা অভিধান।
২৩) সমীভবনের উদাহরণ কোনটি?
শুনিয়া > শুনে
কর্ম > কম্ম
ফাল্গুন > ফাগুন
চাল > চাউল
কর্ম > কম্ম
ব্যাখ্যা:
সমীভবনের উদাহরণ- কর্ম > কম্ম।
অন্যদিকে,
’শুনিয়া > শুনে’ অভিশ্রুতি ধ্বনি পরিবর্তনের উদাহরণ।
’ফাল্গুন > ফাগুন’ অন্তর্হতি ধ্বনি পরিবর্তনের উদাহরণ।
উল্লেখ্য
চাউল > চাল’ মধ্যস্বরলোপ ধ্বনি পরিবর্তনের উদাহরণ।
উৎস: বাংলা ভাষার ব্যাকরণ ও নির্মিতি, ৯ম-১০ম শ্রেণি, ২০২৫ সালের সংস্করণ।
২৪) 'অনল প্রবাহ' কাব্যের রচয়িতা কে?
মীর মশাররফ হোসেন
সৈয়দ ইসমাইল হোসেন সিরাজী
রোকেয়া সাখাওয়াত হোসেন
কাজী নজরুল ইসলাম
সৈয়দ ইসমাইল হোসেন সিরাজী
ব্যাখ্যা:
অনল প্রবাহ' কাব্যগ্রন্থ:
- সৈয়দ ইসমাইল হোসেন সিরাজী রচিত মুসলিম জাগরণমূলক কাব্য ’অনল প্রবাহ’।
- এটি ১৯০০ সালে প্রকাশিত হয়।
- এটি তাঁর প্রথম কাব্যগ্রন্থ এবং প্রকাশিত হওয়ার সাথে সাথে ব্রিটিশ সরকার তা বাজেয়াপ্ত করেছিল।
- প্রথম সংস্করণে কবিতা ছিল মাত্র নয়টি।
- এগুলোর মধ্যে: অনল প্রবাহ, তুর্যধ্বনি, মূর্চ্ছনা, বীর-পূজা, অভিভাষণ, মরক্কো সংকটে উল্লেখযোগ্য।
--------------------------------------------
সৈয়দ ইসমাইল হোসেন সিরাজী
- সৈয়দ ইসমাইল হোসেন সিরাজী লেখক, বাগ্মী এবং কৃষক নেতা।
- তিনি সিরাজগঞ্জ জেলায় জন্মগ্রহণ করেন (এ কারণেই তিনি তাঁর নামের সঙ্গে ‘সিরাজী’ উপাধি যুক্ত করেন)।
- সৈয়দ ইসমাইল হোসেন সিরাজী ১৮৮০ খ্রিস্টাব্দে সিরাজগঞ্জে জন্মগ্রহণ করেন।
তাঁর রচিত কাব্যগ্রন্থ:
- অনল প্রবাহ
- আকাঙ্ক্ষা
- উচ্ছ্বাস
- উদ্বোধন
- নব উদ্দীপনা
- স্পেন বিজয় কাব্য
- সঙ্গীত সঞ্জীবনী
- প্রেমাঞ্জলি
তাঁর রচিত উপন্যাস
- রায়নন্দিনী
- তারাবাঈ
- ফিরোজা বেগম
- নূরুদ্দীন
তাঁর রচিত প্রবন্ধ
- স্বজাতি প্রেম
- তুর্কি নারী জীবন
- স্পেনীয় মুসলান সভ্যতা
উৎস: বাংলা ভাষা ও সাহিত্য জিজ্ঞাসা, ড. সৌমিত্র শেখর, বাংলাপিডিয়া।
২৫) Philanthropist'-এর বাংলা পরিভাষা কোনটি?
সুস্থতা
ভেষজবিদ্যা
হস্তান্তরযোগ্য
লোকহিতৈষী
লোকহিতৈষী
ব্যাখ্যা:
Philanthropist'-এর বাংলা পরিভাষা- লোকহিতৈষী।
আরো কিছু গুরুত্বপূর্ণ পারিভাষিক শব্দ হলো:
'Manifesto' শব্দের বাংলা পরিভাষা - 'ইশতেহার'।
'Constitution' শব্দের বাংলা পরিভাষা- 'সংবিধান'।
'Constituency' শব্দের বাংলা পরিভাষা 'নির্বাচনী এলাকা/ নির্বাচকমণ্ডলী'।
'Manuscript' শব্দের বাংলা পরিভাষা 'পান্ডুলিপি'। -
'Deceit' এর বাংলা পরিভাষা- 'প্রতারণা'।
'Manual' শব্দের বাংলা পরিভাষা 'সারগ্রন্থ'।
'Memorandum' শব্দের বাংলা পরিভাষা - 'স্মারকলিপি'।
Gazette শব্দের বাংলা পরিভাষা 'ঘোষণাপত্র'।
উৎস: বাংলা একাডেমি, প্রশাসনিক পরিভাষা।
২৬) Which of the following sentences is correct?
She is the person to whom I spoke yesterday.
She is the person whom I spoke yesterday.
She is the person with who I spoke yesterday.
She is the person to who I spoke yesterday.
She is the person to whom I spoke yesterday.
ব্যাখ্যা:
• Correct Sentence: She is the person to whom I spoke yesterday.
- Bangla Meaning: সে হলো সেই মানুষ যার সঙ্গে আমি গতকাল কথা বলেছি।
- ইংরেজি ভাষায় "whom" ব্যবহার করা হয় object (object of a verb or preposition) বোঝাতে। sentence-এ যদি preposition থাকে, তার পরে "whom" বসে।
এই বাক্যে -
"I spoke to whom" - এখানে "spoke" verb-এর preposition "to" রয়েছে। তাই, preposition-এর পরে "whom" ব্যবহার হবে। সুতরাং,
- Preposition-এর পরে বা যখন clause-এ object বোঝানো হয়, তখন "whom" ব্যবহার করতে হবে, আর subject বোঝালে "who"।
• অপশন আলোচনা:
ক) She is the person to whom I spoke yesterday.
- সঠিক, কারণ এখানে "to" ও "whom" দুটোরই সঠিক ব্যবহার হয়েছে।
খ) She is the person whom I spoke yesterday.
- ভুল, কারণ এখানে "to" Preposition বাদ পড়েছে। "Speak" এর পরে "to" থাকা আবশ্যক।
গ) She is the person with who I spoke yesterday.
- ভুল, কারণ "with who" নয়, "with whom" হবে।
ঘ) She is the person to who I spoke yesterday.
- ভুল, কারণ "to who" নয়, "to whom" হবে।
২৭) What does the phrase "heat one's brain out" mean?"
To physically hurt someone
To memorise something quickly
To act sensibly
To think very hard about something
To think very hard about something
ব্যাখ্যা:
• The idiom "heat one's brain out" means - To think very hard about something.
• heat one's brain out (idiom)
English Meaning: To think very intensely or deeply about something, often to solve a difficult problem.
Bangla Meaning: কোনো কঠিন সমস্যা সমাধানের জন্য খুব কঠোরভাবে চিন্তা করা; মাথা খাটানো।
Example Sentence:
- He heated his brain out trying to find a solution to the puzzle.
Source: Cambridge Dictionary.
২৮) _______ your shoes before you enter the room?
Do you mind to remove
Would you mind removed
Would you mind removing
Will you mind remove
Would you mind removing
ব্যাখ্যা:
• Complete sentenece: Would you mind removing your shoes before you enter the room?
- Bangla Meaning: আপনি কি দয়া করে ঘরে ঢোকার আগে আপনার জুতা খুলবেন?
• Would you mind যুক্ত incomplete sentence কে complete করার নিয়ম:
- Would you mind এরপর verb এর মূল form এর সাথে ing যোগ করতে হয়।
- Structure: Would you mind + verb + ing + object.
Example:
- Would you mind coming to my house?
- Would you mind Taking a cup of tea?
- Would you mind giving me some money?
২৯) The meaning of the phrase Daisy Dukes
important
shorts
soft
delicate
shorts
ব্যাখ্যা:
• The phrase "Daisy Dukes" primarily refers to - shorts.
• Daisy Dukes (noun, informal)
English Meaning: Very short, tight denim shorts, typically worn by women. The term comes from the character Daisy Duke in the American TV series The Dukes of Hazzard, who famously wore such shorts.
Bangla Meaning: খুব ছোট, আঁটসাঁট জিন্সের শর্টস, যা সাধারণত মেয়েরা পরে।
Example Sentence:
- She wore a pair of Daisy Dukes to the summer festival.
- In the 80s, Daisy Dukes became a popular fashion trend among young women.
Source:
1. Cambridge Dictionary.
2. Accessible Dictionary by Bangla Academy.
৩০) Identify the correct sentence:
They considered her as capable for the role.
They considered her to be capable for the role.
They considered her capable of the role.
They considered her capable for the role.
They considered her capable of the role.
ব্যাখ্যা:
• Correct Sentence: They considered her capable of the role.
- Bangla Meaning: তারা তাকে এই ভূমিকার জন্য সক্ষম মনে করেছিল।
• Capable of (doing something):
English meaning: having the ability, power, or qualities to be able to do something.
Bangla meaning: সক্ষম।
Example: He is capable of solving problems.
- কোন কিছুর জন্য সক্ষম অর্থে Capable এর সাথে of বসে।
Source: Cambridge & Accessible Dictionary, Advanced Learner's by Chowdhury & Hossain.
৩১) Which one is the correct spelling?
Manuever
Manover
Manuevere
Manoeuvre
Manoeuvre
ব্যাখ্যা:
• The correct spelling is - Manoeuvre. (অপশন 'ঘ')
• Manoeuvre (noun / verb)
English Meaning:
- (noun) A movement or series of moves requiring skill and care, often to achieve a particular aim.
- (verb) To move or guide something carefully and skillfully.
Bangla Meaning:
- (noun) কৌশল, চালাকি, নিপুণতা।
- (verb) দক্ষতার সঙ্গে চালনা বা পরিচালনা করা।
Example Sentence:
- The pilot performed a difficult manoeuvre to avoid the storm.
- The car had to manoeuvre through the narrow streets of the old city.
যেমন - রাজনীতিবিদরা ক্ষমতায় থাকার জন্য নানা কৌশল (manoeuvre) অবলম্বন করেন।
Note:
In British English, the correct spelling is "Manoeuvre".
In American English, it is spelled as "Maneuver".
Source:
1. Merriam-Webster.
2. Accessible Dictionary by Bangla Academy.
৩২) The number of the unemployed men ______.
have Increased
has Increased
were Increased
Increase rapidly
has Increased
ব্যাখ্যা:
• Complete Sentence: The number of the unemployed men has Increased.
- Bangla Meaning: বেকার পুরুষদের সংখ্যা বৃদ্ধি পেয়েছে।
- এখানে বাক্যের subject হচ্ছে "The number of the unemployed men".
- যদিও "unemployed men" plural, কিন্তু বাক্যের প্রধান subject হলো "The number", যা singular.
Grammar rule অনুযায়ী:
- যখন subject "The number of + plural noun" হয়, তখন verb টি singular হয়।
- এছাড়াও, বাক্যটি present perfect tense-এ রয়েছে, যা বোঝায় যে গত কিছু সময়ের মধ্যে বেকার পুরুষের সংখ্যা বেড়েছে।
৩৩) Hardly ______ the door when the phone rang.
had I closed
have I closed
I had closed
I closed
had I closed
ব্যাখ্যা:
• Complete Sentence: Hardly had I closed the door when the phone rang.
- Bangla Meaning: আমি দরজা বন্ধ করতেই ফোন বাজতে শুরু করল।
- কোনো বাক্যে hardly had থাকলে, hardly had যুক্ত অংশটি past perfect tense এ হয় ও verb এর past participle form হয় এবং hardly had এর পরবর্তী clause টি শুরু করতে হয় when দিয়ে এবং বাকি অংশ টুকু past indefinite tense এ হয়।
- Structure: Hardly had + sub + verb এর past participle form + When + past indefinite tense.
- যেহেতু প্রদত্ত প্রশ্নের প্রথম Clause টি hardly had যুক্ত এবং past perfect tense-এ আছে তাই এর পরবর্তী clause অবশ্যই শুরু করতে হবে when দিয়ে এবং tense হবে past indefinite.
- তাই, এখানে, Hardly এর পরে শূন্যস্থানে - had I closed হয়েছে।
সহজে মনে রাখার সুবিধার্থে,
- কোনো কিছু হওয়া/ করা মাত্রই অন্য কিছু হয়েছিল/ করেছিল বোঝাতে অথবা হতে না...হতেই / করতে না No sooner had......than এভাবে আসে। করতেই বোঝাতে বাক্যে সবসময় Hardly had.......when, scarcely had...when,
- আর When ও than এর পূর্বে Past perfect Tense এবং When ও than এর পরে Past Indefinite Tense ব্যবহৃত হয়।
৩৪) What Is the noun form of 'beautiful'?
Beautlfy
Beautifully
Beautifying
Beauty
Beauty
ব্যাখ্যা:
• Beautiful এর noun form হচ্ছে Beauty.
• Beauty (noun):
English Meaning The quality or aggregate of qualities in a person or thing that gives pleasure to the senses or pleasurably exalts the mind or spirit.
Bengali Meaning সৌন্দর্য; শ্রী; রূপ; লাবণ্য; ছটা।
Example Sentence - We explored the natural beauty of the island.
• Beautiful (adjective):
English Meaning - Having qualities of beauty.
Bengali Meaning সুন্দর, চমৎকার; মন ও ইন্দ্রিয়কে আনন্দ দেয় এমন।
Example Sentence You have the most beautiful smile.
Source:
1. Merriam-Webster.
2. Accessible Dictionary by Bangla Academy.
৩৫) To "keep someone at arm's length" means to
keep someone close and trusted
physically push someone away
hug someone warmly
maintain distance or avoid close relationship
maintain distance or avoid close relationship
ব্যাখ্যা:
• The idiom "keep someone at arm's length" means - To maintain distance or avoid close relationship.
• keep someone at arm's length (idiom)
English Meaning: To deliberately maintain emotional or physical distance from someone; to avoid becoming too friendly or involved.
Bangla Meaning: কারো সাথে দূরত্ব বজায় রাখা; ঘনিষ্ঠ বা অন্তরঙ্গ সম্পর্ক এড়িয়ে চলা।
Example Sentence:
- She always keeps her colleagues at arm's length to maintain professionalism.
Source: Cambridge Dictionary.
৩৬) Each of the students, as well as the teacher, _________ required to attend the seminar.
are
have
is
were
is
ব্যাখ্যা:
• Complete Sentence: Each of the students, as well as the teacher, is required to attend the seminar.
- Bangla Meaning: প্রত্যেক শিক্ষার্থী ও শিক্ষককে সেমিনারে অংশগ্রহণ করা আবশ্যক।
- as well as দ্বারা দুইটি বাক্য যুক্ত হলে verb "as well as" এর পূর্বে যে subject থাকে তার number/person অনুযায়ী হয়।
• structure:
- Subject + verb + as well as + verb + object.
- প্রশ্নে উল্লিখিত বাক্যে as well as এর পূর্বে subject "Each of the students" থাকায় শূন্যস্থানে is বসবে।
৩৭) A short saying that expresses a general truth is a ______
simile
idiom
proverb
metaphor
proverb
ব্যাখ্যা:
• A short saying that expresses a general truth is a proverb.
• Proverb:
- Proverb বা প্রবাদ হলো একটি ছোট, সাধারণ বাক্য বা কথা যা জীবনের অভিজ্ঞতা, নীতিবাক্য, বা সাধারণ সত্যকে সহজভাবে প্রকাশ করে। এটি সাধারণত লোকজ জ্ঞান, সংস্কৃতি, এবং নৈতিক শিক্ষার বহিঃপ্রকাশ।
Examples:
- A stitch in time saves nine.
- Actions speak louder than words.
- Better late than never.
• Simile:
- A simile is an explicit comparison between two different things.
- Usually as and like are used in it.
- In simile the resemblance is explicitly indicated by the words.
- দুটি ভিন্নধর্মী জিনিসের মধ্যে As ও Like দ্বারা তুলনা বোঝালে তাকে Simile বলে।
- উপমেয়ের সাথে উপমানের সাদৃশ্য কল্পনা করা।
- যেমন: She is as innocent as a lamb.
• Idiom:
- Idiom হলো এমন এক ধরনের বাক্যাংশ বা শব্দগুচ্ছ, যার অর্থ আক্ষরিক অর্থ থেকে ভিন্ন হয়ে থাকে। অর্থাৎ, idiom-এর প্রতিটি শব্দের আলাদা আলাদা অর্থ নিয়ে ভাবলে আসল অর্থ বোঝা যায় না; বরং এটি প্রথাগত বা সাংস্কৃতিক অর্থ বহন করে।
Examples:
- Break the ice - নতুন পরিবেশে প্রথমে কথা বলে অস্বস্তি দূর করা।
(আক্ষরিক অর্থ: বরফ ভাঙা, কিন্তু প্রকৃত অর্থ: আলাপ শুরু করা।)
- Hit the nail on the head - কোনো কিছুর আসল বিষয়টি ঠিকঠাকভাবে বলা বা বোঝানো।
- Idiom = রূপক অর্থের বহিঃপ্রকাশ, যা ভাষার সৌন্দর্য ও বৈচিত্র্য বাড়ায়।
• Metaphor:
- Metaphor involves - Implicit comparison.
- Metaphor is an implicit comparison between two different things.
- যখন কোনো বাক্যে দুটি ভিন্ন বা বিজাতীয় জিনিসের মাঝে পরোক্ষভাবে বা রূপকার্থে তুলনা করা হয় তাকে বলা হয় Metaphor.
- সাধারণত Metaphor দ্বারা এমন দুইটি জিনিসের মধ্যে তুলনা দেওয়া হয় যারা একই রকম বা সদৃশ নয় কিন্তু তাদের মধ্যে কিছু সাধারণ মিল থাকে।
- Metaphor এর আরো কিছু উদাহরণ হলো-
- Life is but a walking shadow.
- "She's all states, and all princes, I"
- "Revenge is a wild justice.
- All the world's a stage, And all the men and women merely players.
- Metaphor এবং Simile এর মাঝে পার্থক্য হলো As ও Like এর উল্লেখ না থাকা।
- অর্থাৎ উপমাবাচক শব্দের প্রয়োগ না করে, উভয়ের মধ্যে সাধারণ গুনের উল্লেখ না করে সাদৃশ্য প্রদর্শনের নাম Metaphor.
- যেমন: Liza is a rose. এটি একটি Metaphor এর উদাহরণ।
- কিন্তু, Liza is lovely like a rose এটি একটি Simile এর উদাহরণ।
Source: An ABC of English Literature by Dr M Mofizar Rahman.
৩৮) He tried to explain it, but I couldn't make ______ of it.
pieces and bits
meaningful
cuts and corners
head or tall
head or tall
ব্যাখ্যা:
• Complete Sentence: He tried to explain it, but I couldn't make head or tail of it.
- Bangla Meaning: সে আমাকে বোঝানোর চেষ্টা করেছিল, কিন্তু আমি কিছুই বুঝতে পারিনি।
• head or tall
- প্রশ্নে এটি ভুলভাবে লেখা হয়েছে; সঠিক phrase হলো "head or tail".
• head or tail
- Bangla Meaning: কিছুই বুঝতে না পারা।
• অপশন আলোচনা:
ক) pieces and bits:
- সাধারণত বলা হয় "bits and pieces" যার অর্থ ছোট ছোট অংশ বা খণ্ড। কিন্তু এই বাক্যে এটি মানানসই নয়।
খ) meaningful:
- "meaningful" অর্থ "অর্থবোধক"। তবে বাক্যের শূন্য পূরণের জন্য এটি ব্যাকরণগতভাবে ঠিক নয়। এখানে একটি phrase দরকার।
গ) cuts and corners:
- এই phrase প্রকৃতপক্ষে "cut corners" হিসেবে ব্যবহৃত হয়, যার অর্থ কাজ সহজ করার জন্য নিয়ম ভাঙা বা কম খরচে কাজ শেষ করা। এটি এখানে প্রাসঙ্গিক নয়।
Source: Cambridge Dictionary.
৩৯) The professor expected the students ______ their research before the seminar.
to have completed
having completed
complete
for completing
to have completed
ব্যাখ্যা:
• Complete Sentence: The professor expected the students to have completed their research before the seminar.
- Bangla Meaning: অধ্যাপক চেয়েছিলেন ছাত্ররা সেমিনারের পূর্বে তাদের গবেষণা সম্পন্ন করুক।
সঠিক উত্তর:
ক) to have completed
• Structure:
- expect + object + to + verb (base form).
- তবে এখানে, expect + object + to have + past participle ফর্মের নিয়ম অনুসরণ করে।
- অর্থাৎ, "The professor expected" (subject + verb) এর পরে the students (object) এসেছে। এরপর যে কাজটি শিক্ষার্থীদের কাছ থেকে প্রত্যাশা করা হয়েছে, সেটি বোঝাতে to + verb (base form) ব্যবহার করতে হবে।
- যেহেতু before the seminar বলা হয়েছে, অর্থাৎ seminar এর আগেই গবেষণার কাজটি সম্পন্ন হওয়ার কথা, তাই to have completed ব্যবহৃত হয়েছে। এটি past action বোঝায় যা seminar এর আগে সম্পন্ন হয়েছে।
- to have completed = পূর্ববর্তী সম্পন্ন কাজ নির্দেশ করে।
সুতরাং, বাক্যটা হবে:
- The professor expected the students to have completed their research before the seminar.
৪০) After several delays, the company finally managed to _____the merger last week.
bring about
bring over
bring up
bring in
bring about
ব্যাখ্যা:
• Complete Sentence: After several delays, the company finally managed to bring about the merger last week.
- Bangla Meaning: বেশ কিছু বিলম্বের পর, কোম্পানিটি গত সপ্তাহে মেলবন্ধন ঘটাতে সক্ষম হয়।
• Bring about
- ডেকে আনা, ঘটানো।
• Bring over
- কাউকে তার পক্ষ বা দল পরিবর্তন করতে বাধ্য করা বা প্রভাবিত করা।
• Bring up
- লালনপালন করা।
• Bring in
- উৎপন্ন করা, উপস্থাপন করা।
Source: Collins Dictionary.
৪১) What is the antonym of 'vicissitude'?
change
hardship
fluctuation
stability
stability
ব্যাখ্যা:
• The antonym of 'Vicissitude' is - Stability.
• Vicissitude (noun)
English Meaning: a change of circumstances or fortune, typically one that is unwelcome or unpleasant.
Bangla Meaning: পরিবর্তন; বিশেষ করে জীবনে ওঠানামা বা অপ্রত্যাশিত ঘটনা।
অপশন আলোচনা:
- Change (ক) – পরিবর্তন।
- Hardship (খ) – দুর্দশা।
- Fluctuation (গ) – ওঠানামা।
- Stability (ঘ) – স্থিরতা; অবিচল থাকা।
Source:
1. Merriam-Webster.
2. Accessible Dictionary by Bangla Academy.
৪২) The manager is known ______
his leadership and his vision
for both his leadership and vision
both his leadership and vision
for both leadership and his vision
for both his leadership and vision
ব্যাখ্যা:
• Complete Sentence: The manager is known for both his leadership and vision.
- Bangla Meaning: ম্যানেজার তার নেতৃত্ব এবং দূরদর্শিতার জন্য পরিচিত।
• এখানে, সঠিক উত্তর -
খ) for both his leadership and vision.
- এখানে "for" আছে এবং "both" দিয়ে দুইটি গুণকে স্পষ্ট করা হয়েছে। "his" শব্দটি শুধু প্রথম গুণের আগে আছে, যা যথেষ্ট, কারণ ইংরেজিতে "his" একবার বসালে পরবর্তী একই ধরনের বস্তুতে আবার বসানোর দরকার নেই। এটি সঠিক।
- "known" এর পরে কারণ বোঝাতে সবসময় "for" লাগে।
- "both" ব্যবহার করলে দুইটি গুণ বা বিষয় স্পষ্ট করা হয়।
- "his" বা অন্যান্য possessive pronoun একবার দিলেই যথেষ্ট, বারবার দেওয়ার দরকার নেই।
৪৩) What is the synonym' of 'ponder'?
Ignore
Wonder
Think deeply
Act quickly
Think deeply
ব্যাখ্যা:
• The closest in meaning to 'Ponder' is - Think deeply.
• Ponder (verb)
English Meaning: to think about something carefully, especially before making a decision or reaching a conclusion.
Bangla Meaning: গভীরভাবে চিন্তা করা; মনন করা।
• অপশন আলোচনা:
- Ignore - উপেক্ষা করা; নজর না দেওয়া।
- Wonder - আশ্চর্য হওয়া বা জিজ্ঞাসা করা।
- Think deeply - গভীরভাবে চিন্তা করা, মনন করা।
- Act quickly - দ্রুত কাজ করা।
Source:
1. Merriam-Webster.
2. Accessible Dictionary by Bangla Academy.
৪৪) Neither the students nor the teacher ______ present at the meeting.
was
were
have been
were possibly
was
ব্যাখ্যা:
Complete sentence: Neither the students nor the teacher was present at the meeting.
• Either...... or, Neither....nor, Not only....but also দ্বারা যুক্ত একাধিক subject-এর ক্ষেত্রে verb টি তার নিকটতম subject অনুসারে বসে।
- অর্থাৎ, assertive sentence-এ or, nor, but also -এর পরে singular subject থাকলে singular verb এবং plural subject থাকলে plural verb বসবে।
- যেমন: Neither the teacher nor the students are satisfied with the result.
- এখানে যেহেতু, শেষের অংশে the students - Plural Noun, তাই plural verb 'are' হবে।
• Structure:
- [Either/neither] + noun + [or/nor] + singular noun + singular verb.
- Neither the salesmen nor the marketing manager is in favour of the system.
- [Either/neither] + noun [or/nor] + plural noun + plural verb.
- Neither Rony nor his friends are going to the beach today.
Source: A Passage to the English Language by S M Zakir Hussain.
৪৫) He takes pride _____ his meticulous attention to detail, even when no one notices.
at
for
in
with
in
ব্যাখ্যা:
• Complete Sentence: He takes pride in his meticulous attention to detail, even when no one notices.
- Bangla Meaning: তার সূক্ষ্ম দৃষ্টিভঙ্গিতে সে গর্ব পায়, যদিও কেউ তা খেয়াল করে না।
• Take pride in something/someone (phrase):
English Meaning To feel very pleased about something or someone you are closely connected with.
Bangla Meaning - গৌর করা; দর্প করা।
Example Sentences
1. If you don't take professional pride in your work, you're probably in the wrong job.
2. She took pride in her ability to inspire loyalty.
Source: Cambridge Dictionary.
৪৬) The policy that you are referring to ________ during the last administration.
was drafted
is being drafted
drafted
has been drafted
was drafted
ব্যাখ্যা:
• Complete Sentence: The policy that you are referring to was drafted during the last administration.
- Bangla Meaning: আপনি যে নীতির কথা বলছেন তা গত সরকারের সময় প্রণীত হয়েছিল।
- এখানে বাক্যের ক্রিয়ার কাল বা tense বুঝতে হবে।
- বাক্যটি বলা হয়েছে - “during the last administration” - অর্থাৎ অতীতের কোনো নির্দিষ্ট সময়ের কথা বলা হচ্ছে। অতীতের কোনো সময় বা ঘটনার কথা হলে সাধারণত Past Simple tense ব্যবহার করতে হয়।
• অপশন আলোচনা:
ক) was drafted
- অর্থ: "নীতি প্রস্তুত করা হয়েছিল" - অতীতে সম্পন্ন হওয়া কাজের জন্য সঠিক।
খ) is being drafted
- অর্থ: "নীতি প্রস্তুত করা হচ্ছে" - বর্তমান সময়ে কিছু হচ্ছে, কিন্তু বাক্যে অতীত সময় উল্লেখ আছে, তাই এটা ভুল।
গ) drafted
- এটি শুধু verb এর past form, কিন্তু পূর্ণ বাক্য গঠন হয়নি। তাই এটি সঠিক নয়।
ঘ) has been drafted
- অর্থ: "নীতি প্রস্তুত হয়ে গেছে" - Present Perfect tense, যা অতীত থেকে বর্তমান পর্যন্ত প্রভাবিত কাজের জন্য। কিন্তু যেহেতু বাক্যে স্পষ্টভাবে অতীতের নির্দিষ্ট সময় "during the last administration" উল্লেখ আছে, তাই Present Perfect ব্যবহার করা ঠিক নয়।
সুতরাং, সঠিক উত্তর হলো - ক) was drafted.
৪৭) They ______ ready by 10:00 am, but they're still not here.
were supposed to be
are suppose to be
have supposed to be
were suppose to be
were supposed to be
ব্যাখ্যা:
• Complete Sentence: They were supposed to be ready by 10:00 am, but they're still not here.
- Bangla Meaning: ওদের ১০টা নাগাদ প্রস্তুত থাকার কথা ছিল, কিন্তু এখনও আসেনি।
• এই বাক্যে সময়ের নির্দেশনা (“by 10:00 am”) দিয়ে বোঝানো হচ্ছে যে, তাদের ঠিক ১০ টার মধ্যে প্রস্তুত হয়ে যাওয়ার কথা ছিল। অর্থাৎ, এটা অতীতের একটা প্রত্যাশা বা পরিকল্পনা যেটা হয়তো পূরণ হয়নি।
- এখানে আমরা “supposed to” এর past form ব্যবহার করব, কারণ এটি অতীতে হওয়া বা হওয়ার কথা ছিল এমন কিছু বোঝায়।
- “were” হল “be” verb এর অতীতকাল।
- “supposed to” একটি fixed phrase যা বোঝায় “আশা করা/ধরা হয়েছিল” বা “কোনো কাজ হওয়ার কথা ছিল”।
- বাক্যে “are suppose to be” বা “have supposed to be” এবং “were suppose to be” ভুল কারণ “supposed” শব্দটি past participle.
৪৮) _______, the students celebrated their success.
Completion of the final exam
After they had completed the final exam
Being completed the final exam
Though the exam was completed
After they had completed the final exam
ব্যাখ্যা:
• Complete Sentence: After they had completed the final exam, the students celebrated their success.
- Bangla Meaning: তারা চূড়ান্ত পরীক্ষা শেষ করার পর, ছাত্রছাত্রীরা তাদের সাফল্য উদযাপন করল।
- এখানে, প্রশ্নে উল্লিখিত বাক্যে After যুক্ত clause টি past perfect tense-এ এবং অপর clause টি past indefinite tense এ হয়েছে।
• অতীতে একটি কাজের পূর্বে আরেকটি কাজ হলে পূর্বের কাজের Past Perfect Tense হয়।
- অর্থাৎ, After এর পূর্বে past indefinite tense এবং পরে past perfect tense হয়।
Examples:
- I had looked for a good doctor before I met you.
- The patient died after the Doctor had come.
- The patient had died before the doctor came.
- The students came after the teacher had reached the classroom.
- They arrived here after you had left.
৪৯) They made her _____ the entire proposal again from scratch.
to rewrite
rewriting
rewrite
rewritten
rewrite
ব্যাখ্যা:
• Complete Sentence: They made her rewrite the entire proposal again from scratch.
- Bangla Meaning: তারা তাকে পুরো প্রস্তাবনাটি আবার নতুন করে লিখতে বাধ্য করল।
• Subject যখন নিজে কাজ না করে অন্যকে দিয়ে কাজ করিয়ে নেয় তখন এই অর্থে causative verb ব্যবহৃত হয়।
- Help, Get, Have, Let, Make ইত্যাদি বহুল প্রচলিত causative verb.
• Causative verb হিসাবে 'Make' এর ব্যবহার -
- Make এরপর কোনো ব্যক্তি বা বস্তু থাকলে verb এর base form বসে।
- প্রদত্ত বাক্যে made এরপর her ব্যক্তি বাচক তাই এরপর verb এর base form "rewrite" বসবে।
৫০) It was _______ that the team had to request an extension.
so challenging a task
such challenging task
very challenging a task
difficult a task
so challenging a task
ব্যাখ্যা:
• Complete Sentence: It was so challenging a task that the team had to request an extension.
- Bangla Meaning: কাজটি এত কঠিন ছিল যে দলের সদস্যরা সময় বৃদ্ধি করার আবেদন করেছিল।
- এখানে, challenging হচ্ছে - adjective.
• So... that
- It expresses a cause and effect.
• Structure:
So + adjective/adverb + that
Example:
- He is so dull that he can not understand anything.
- I was so sleepy that I couldn't keep my eyes open.
- যেহেতু এটা cause & effect প্রকাশ করে, তাই সম্পূর্ণ বাক্যে একই tense হবে।
- প্রশ্নোক্ত বাক্যের প্রথম অংশে past tense থাকায় পরের অংশেও past tense হবে।
৫১) The average of 8 numbers is 8. If 4 is subtracted from each of 6 of these numbers, what is the new average?
3.5
5
4
6.5
5
ব্যাখ্যা:
Question: The average of 8 numbers is 8. If 4 is subtracted from each of 6 of these numbers, what is the new average?
Solution:
দেওয়া আছে,
8 টি নম্বরের গড় = 8
∴ 8 টি নম্বরের সমষ্টি = (8 × 8) = 64
8 টি নম্বরের মধ্যে 6 টি নম্বরের প্রতিটি থেকে 4 বিয়োগ করা হলে নতুন সমষ্টি,
= 64 - (6 × 4)
= 64 - 24
= 40
সুতরাং 8 টি সংখ্যার নতুন গড় হবে,
= 40/8
= 5
৫২) In the triangle, what is the value of x?

25
55
60
77
25
ব্যাখ্যা:
Question: In the triangle, what is the value of x?

Solution:
Given,
the three angles of a triangle are respectively y° + x°, 70° - y° and 60° + x°
we know that,
the sum of the three angles of a triangle is 180°.
According to the question,
(y° + x°) + (70° - y°) + (60° + x°) = 180°
⇒ 2x° + 130 = 180°
⇒ 2x° = 180° - 130°
⇒ 2x° = 50°
⇒ x° = 50°/2
⇒ x° = 25°
Therefore,
In the triangle, the value of x is 25°
৫৩) The sum of four consecutive multiples of 4 is 200. What is the largest number?
48
52
56
60
56
ব্যাখ্যা:
Question: The sum of four consecutive multiples of 4 is 200. What is the largest number?
Solution:
ধরি,
চারটি ক্রমিক 4 এর গুণিতক যথাক্রমে x, (x + 4), (x + 8) এবং (x + 12)
প্রশ্নমতে,
x + (x + 4) + (x + 8) + (x + 12) = 200
⇒ 4x + 24 = 200
⇒ 4x = 200 - 24
⇒ 4x = 176
⇒ x = 176/4
⇒ x = 44
∴ বৃহত্তম সংখ্যা = x + 12
= 44 + 12
= 56
৫৪) A rectangular field is 3.2 yards long. A fence marking the boundary is 11.2 yards in length. What is the area of the field in square yards?
4.68
7.68
9.28
11.28
7.68
ব্যাখ্যা:
Question: A rectangular field is 3.2 yards long. A fence marking the boundary Is 11.2 yards in length. What is the area of the field in square yards?
Solution:
দেওয়া আছে,
আয়তাকার মাঠের দৈর্ঘ্য = 3.2 গজ
মাঠের চতুর্দিকে বেড়ার দৈর্ঘ্য = মাঠের পরিসীমা = 2(দৈর্ঘ্য + প্রস্থ) = 11.2 গজ
ধরি,
মাঠের প্রস্থ = x গজ
প্রশ্নমতে,
2(3.2 + x) = 11.2
⇒ 6.4 + 2x = 11.2
⇒ 2x = 11.2 - 6.4
⇒ 2x = 4.8
⇒ x = 4.8/2
⇒ x = 2.4
∴ আয়তাকার মাঠের ক্ষেত্রফল = দৈর্ঘ্য × প্রস্থ = (3.2 × 2.4) বর্গগজ = 7.68 বর্গগজ
৫৫) When the price of each book goes up by Tk. 5, the librarian purchases 20 books less than the required number for Tk. 1200. The original price of the book was
15 Tk.
20 Tk.
25 Tk.
30 Tk.
15 Tk.
ব্যাখ্যা:
Question: When the price of each book goes up by Tk. 5, the librarian purchases 20 books less than the required number for Tk. 1200. The original price of the book was
Solution:
ধরি,
বইয়ের পূর্বমূল্য = x টাকা
x টাকায় পাওয়া যেতো = 1 টি বই
∴ 1 টাকায় পাওয়া যেতো = 1/x টি বই
∴ 1200 টাকায় পাওয়া যেতো = 1200/x টি বই
আবার, বইয়ের মূল্য 5 টাকা বৃদ্ধি পাওয়ায় বর্তমান মূল্য = (x + 5) টাকা
(x + 5) টাকায় পাওয়া যাবে = 1 টি বই
∴ 1 টাকায় পাওয়া যাবে = 1/(x + 5) টি বই
∴ 1200 টাকায় পাওয়া যাবে = 1200/(x + 5) টি বই
প্রশ্নমতে,
(1200/x) - {1200/(x + 5)} = 20
⇒ {1200(x + 5) - 1200x}/{x(x + 5)} = 20
⇒ {1200x + 6000 - 1200x}/(x2 + 5x) = 20
⇒ 6000/(x2 + 5x) = 20
⇒ x2 + 5x = 6000/20
⇒ x2 + 5x = 300
⇒ x2 + 5x - 300 = 0
⇒ x2 + 20x - 15x - 300 = 0
⇒ x(x + 20) - 15(x + 20) = 0
⇒ (x + 20)(x - 15) = 0
হয়, x + 20 = 0 অথবা, x - 15 = 0
x = - 20 অথবা, x = 15
কিন্তু x এর ঋণাত্মক মান গ্রহণযোগ্য নয়।
সুতরাং বইয়ের পূর্বমূল্য ছিলো = 15 টাকা
৫৬) At what rate of compound interest per annum will a sum of Tk. 1800 become Tk. 3042 in two years?
10%
15%
20%
30%
30%
ব্যাখ্যা:
Question: At what rate of compound interest per annum will a sum of Tk. 1800 become Tk. 3042 in two years?
Solution:
দেওয়া আছে,
চক্রবৃদ্ধি মূলধন, P = 1800 টাকা
চক্রবৃদ্ধি মুনাফা-আসল, C = 3042 টাকা
সময়, n = 2 বছর
মুনাফার হার, r = ?
প্রশ্নমতে,
C = P{1 + (r/100)n
⇒ 3042 = 1800 × {1 + (r/100)2
⇒ {1 + (r/100)2 = 3042/1800
⇒ {1 + (r/100)2 = 169/100
⇒ 1 + (r/100) = 13/10 [বর্গমূল করে]
⇒ r/100 = (13/10) - 1
⇒ r/100 = (13 - 10)/10
⇒ r/100 = 3/10
⇒ r = (3 × 100)/10
⇒ r = 30
সুতরাং, মুনাফার হার = 30%
৫৭) In a tourist group of 100 people, 55 speak French, 40 speak Spanish, and 20 speak none of the languages. How many of them speak just one language?
15
25
40
65
65
ব্যাখ্যা:
Question: In a tourist group of 100 people, 55 speak French, 40 speak Spanish, and 20 speak none of the languages. How many of them speak just one language?
Solution:

ধরি,
উভয় ভাষায় কথা বলতে পারে = x জন
∴ শুধু ফ্রেঞ্চ বলতে পারে = (55 - x) জন
∴ শুধু স্প্যানিশ বলতে পারে = (40 - x) জন
দেওয়া আছে,
কোনো ভাষায় কথা বলে না = 20 জন
প্রশ্নমতে,
(55 - x) + x + (40 - x) = 100 - 20
95 - x = 80
x = 95 - 80
x = 15
শুধু ফ্রেঞ্চ বলতে পারে = (55 - 15) জন = 40 জন
শুধু স্প্যানিশ বলতে পারে = (40 - 15) জন = 25 জন
∴ শুধুমাত্র একটি ভাষায় (ফ্রেঞ্চ বা স্প্যানিশ) কথা বলতে পারে = (40 + 25) জন = 65 জন
৫৮) (289)0.17 × (17)0.16 = ?
4
√7
√17
√19
√17
ব্যাখ্যা:
Question: (289)0.17 × (17)0.16 = ?
Solution:
(289)0.17 × (17)0.16
= {(17)2}0.17 × (17)0.16
= 17(2 × 0.17) × (17)0.16
= (17)0.34 × (17)0.16
= (17)0.34 + 0.16
= (17)0.50
= (17)50/100
= (17)1/2
= √17
৫৯) 69% of the students of a certain class took Mathematics and 47% took Biology. If each student took Biology or Mathematics and 44 took both, what is the total number of students in the class?
150
250
300
275
275
ব্যাখ্যা:
Question: 69% of the students of a certain class took Mathematics and 47% took Biology. If each' student took Biology or Mathematics and 44 took both, what is the total number of students in the class?
Solution:
দেওয়া আছে,
গণিত নিয়েছে = 69%
জীববিজ্ঞান নিয়েছে = 47%
উভয় বিষয় নিয়েছে = 44 জন
ধরি,
উভয় বিষয় নিয়েছে = x জন
প্রশ্নমতে,
(69% - x) + x + (47% - x) = 100%
⇒ 116% - x = 100%
⇒ x = (116 - 100)%
⇒ x = 16%
আবার,
শর্তমতে,
মোট শিক্ষার্থী × 16% = 44
⇒ মোট শিক্ষার্থী × (16/100) = 44
⇒ মোট শিক্ষার্থী = (44 × 100)/16
⇒ মোট শিক্ষার্থী = 275
∴ মোট শিক্ষার্থীর সংখ্যা = 275 জন
৬০) The distance between cities A and B is 120 miles. A car travels from A to B at 60 miles per hour and returns from B to A along the same route at 40 miles per hour. What is the average speed for the round trip?
48
50
52
56
48
ব্যাখ্যা:
Question: The distance between cities A and B is 120 miles. A car travels from A to B at 60 miles per hour and returns from B to A along the same route at 40 miles per hour. What is the average speed for the round trip?
Solution:
দেওয়া আছে,
A এবং B শহরের দূরত্ব = 120 মাইল
A থেকে B তে যাওয়ার সময়,
60 মাইল অতিক্রম করে = 1 ঘণ্টায়
∴ 1 মাইল অতিক্রম করে = 1/60
∴ 120 মাইল অতিক্রম করে = 120/60 = 2
B থেকে A তে ফেরার সময়,
40 মাইল অতিক্রম করে1
∴ 1 মাইল অতিক্রম করে 1/40
∴ 120 মাইল অতিক্রম করে 120/40 = 3
মোট সময় = (2 + 3) ঘণ্টা = 5 ঘণ্টা
মোট অতিক্রান্ত দূরত্ব = (120 + 120) মাইল = 240 মাইল
∴ গড় গতিবেগ = মোট দূরত্ব/মোট সময় = (240/5) মাইল/ঘণ্টা = 48 মাইল/ঘণ্টা
• বিকল্প সমাধান:
2xy/(x + y)
= (2 × 60 × 40)/(60 + 40)
= 4800/100 = 48 মাইল/ঘণ্টা
৬১) The average of a natural number and its cube is 13 times the number. The number is-
5
- 5
±5
25
5
ব্যাখ্যা:
Question: The average of a natural number and Its cube Is 13 times the number. The number is-
Solution:
let the natural number be = x
According to the Question,
(x + x3)/2 = 13x
⇒ x + x3 = 26x
⇒ x3 = 26x - x
⇒ x3 = 25x
⇒ x3/x = 25
⇒ x2 = 25
⇒ x = ± 5
But since x is a natural number, the value of x must be positive.
Therefore, x = 5.
৬২) If logx(27/64) = - 3, then x = ?
1/3
4/3
3/4
2/3
4/3
ব্যাখ্যা:
Question: If logx (27/64) = - 3, then x = ?
Solution:
logx (27/64) = - 3
⇒ x- 3 = 27/64
⇒ x- 3 = (3/4)3
⇒ x- 3 = 1/(4/3)3
⇒ x- 3 = (4/3)- 3
⇒ x = 4/3
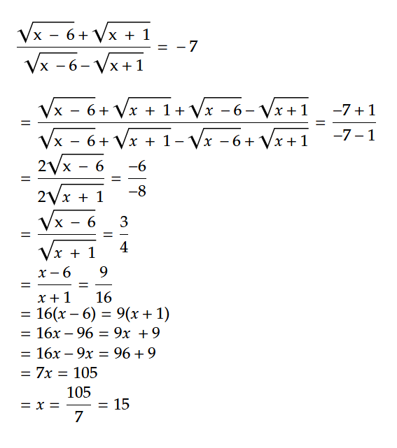
৬৩) If
, the value of x is
11
15
9
Non of these
15
ব্যাখ্যা:
Question: If

, the value of x is
Solution:

৬৪) Solution set of the inequality: x - 5 > 4x + 7 is
(- ∞, - 4)
[- ∞, - 4)
(- ∞, - 4]
[- ∞, - 4]
(- ∞, - 4)
ব্যাখ্যা:
Question: Solution set of the inequality: x - 5 > 4x + 7 Is
Solution:
x - 5 > 4x + 7
⇒ - 5 > 4x - x + 7
⇒ - 5 > 3x + 7
⇒ - 5 - 7 > 3x
⇒ - 12 > 3x
⇒ - 12/3 > 3x/3
⇒ - 4 > x
⇒ x < - 4
∴ নির্ণেয় সমাধান সেট: (- ∞, - 4)
৬৫) If A = {1, 4, 9, 16, 25}, the number of proper subsets of A is
15
16
31
32
31
ব্যাখ্যা:
Question: If A = {1, 4, 9, 16, 25}, the number of proper subsets of A is
Solution:
দেওয়া আছে,
A = {1, 4, 9, 16, 25}
সেটের উপাদান সংখ্যা = 5
∴ প্রকৃত উপসেট সংখ্যা = 2n - 1
= 25 - 1
= 32 - 1
= 31
৬৬) If the height of a tringle is increased by 60% and its base is decreased by 30%, what will be the effect on its area?
12% Increase
12% decrease
112% increase
No change
12% Increase
ব্যাখ্যা:
Question: If the height of a tringle is increased by 60% and its base is decreased by 30%, what will be the effect on its area?
Solution:
ধরি,
ত্রিভুজের উচ্চতা = 10 একক
ভূমি = 10 একক
∴ ত্রিভুজের ক্ষেত্রফল = (1/2) × 10 × 10 = 50 বর্গ একক
আবার,
উচ্চতা 60% বৃদ্ধি করলে নতুন উচ্চতা = 10 + 10 এর 60% = 10 + 6 = 16 একক
ভূমি 30% হ্রাস করলে হ্রাসকৃত ভূমি = 10 - 10 এর 30% = 10 - 3 = 7 একক
∴ নতুন ত্রিভুজের ক্ষেত্রফল = (1/2) × 16 × 7 = 56 বর্গ একক
∴ ক্ষেত্রফল বৃদ্ধি পেয়েছে = (56 - 50) বর্গ একক = 6 বর্গ একক
এখন, ক্ষেত্রফল,
50 বর্গ এককে বৃদ্ধি পেয়েছে = 6 বর্গ একক
∴ বর্গ এককে বৃদ্ধি পেয়েছে = 6/50 বর্গ একক
∴ 100 বর্গ এককে বৃদ্ধি পেয়েছে = (6 × 100)/50 = 12 বর্গ একক
সুতরাং,
ক্ষেত্রফল বৃদ্ধি পেয়েছে = 12%
৬৭) A tank is 1/3 parts full with water. If 8 liters of water is added, the tank becomes 5/6 parts full. What is the capacity of the tank?
16
24
48
None
16
ব্যাখ্যা:
Question: A tank is 1/3 parts full with water. If 8 liters of water is added, the tank becomes 5/6 parts full. What is the capacity of the tank?
Solution:
ধরি,
ট্যাংকের ধারণক্ষমতা = x লিটার
প্রশ্নমতে,
(x/3) + 8 = 5x/6
⇒ (5x/6) - (x/3) = 8
⇒ (5x - 2x)/6 = 8
⇒ 3x = 48
⇒ x = 48/3
⇒ x = 16
অর্থাৎ ট্যাংকের ধারণক্ষমতা = 16 লিটার
৬৮) If (x/y) + (y/x) = √7 then what is the value of (x4/y4) + (y4/x4) ?
22
23
25
27
23
ব্যাখ্যা:
Question: If (x/y) + (y/x) = √7 then what is the value of (x4/y4) + (y4/x4) ?
Solution:
দেওয়া আছে,
(x/y) + (y/x) = √7
∴ x4/y4 + y4/x4
= (x/y)4 + (y/x)4
= {(x/y)2}2 + {(y/x)2}2
= {(x/y)2 + (y/x)2}2 - 2.(x2/y2).(y2/x2)
= {(x/y)2 + (y/x)2}2 - 2
= [{(x/y) + (y/x)}2 - 2.(x/y).(y/x)]2 - 2
= {(√7)2 - 2}2 - 2
= (7 - 2)2 - 2
= 52 - 2
= 25 - 2
= 23
৬৯) Denominator of a proper fraction is 3 more than the numerator. If the fraction is squared, its denominator will be 39 more than the numerator. The fraction is
5/8
4/7
2/5
8/11
5/8
ব্যাখ্যা:
Question: Denominator of a proper fraction is 3 more than the numerator. If the fraction is squared, its denominator will be 39 more than the numerator. The fraction is
Solution:
ধরি,
ভগ্নাংশের লব = x
∴ হর = x + 3
প্রশ্নমতে,
(x + 3)2 - x2 = 39
⇒ x2 + 6x + 9 - x2 = 39
⇒ 6x = 39 - 9
⇒ 6x = 30
⇒ x = 30/6
⇒ x = 5
সুতরাং,
ভগ্নাংশটি = x/(x + 3) = 5/(5 + 3) = 5/8
৭০) If 3x + (3/x) = 5, then x3 + (1/x3) = ?
260/27
85/27
-(10/27)
-(90/27)
-(10/27)
ব্যাখ্যা:
Question: If 3x + (3/x) = 5, then x3 + (1/x)3 = ?
Solution:
Given,
3x + (3/x) = 5
x + (1/x) = 5/3
∴ x3 + (1/x)3
{x + (1/x)}3 - 3.x.(1/x){x + (1/x)}
= (5/3)3 - 3 × (5/3)
= (125/27) - 5
= (125 - 135)/27
= - (10/27)
৭১) The Non-Cooperation Movement was withdrawn by Gandhi in 1922 after
Jallianwala Bagh Massacro
The violent incident at Chauri Chaura
The success of the boycott of foreign goods
British promise of constitutional reforms
The violent incident at Chauri Chaura
ব্যাখ্যা:
The Non-Cooperation Movement was withdrawn by Gandhi in 1922 after The violent incident at Chauri Chaura.
গান্ধীর অসহযোগ আন্দোলন:
- ব্রিটিশ শাসনামলে মোহনদাস করমচাঁদ গান্ধী যিনি মহাত্মা গান্ধী নামে পরিচিত মুসলিমদের খেলাফত আন্দোলনের সাথে একাত্ম হয়ে ঘোষণা করেছিলেন অসহযোগ আন্দোলনের।
- ১৯২০ সাল থেকে ১৯২২ সাল পর্যন্ত চলেছিল সে আন্দোলন।
- গান্ধীজি ছাড়াও এই আন্দোলনে যারা প্রত্যক্ষভাবে যুক্ত ছিলেন তাদের মধ্যে অন্যতম হলেন মতিলাল নেহেরু, দেশবন্ধু চিত্তরঞ্জন দাস, রাজেন্দ্র প্রসাদ, চক্রবর্তী রাজাগোপালচারী প্রমূখ। তাছাড়া নেতাজি সুভাষচন্দ্র বসু ইন্ডিয়ান সিভিল সার্ভিস (IAS) পদ থেকে পদত্যাগ করেন।
⇒ অসহযোগ আন্দোলনের সূত্রপাত হয়েছিল ব্রিটিশদের প্রণয়ন করা রাওলাট আইন থেকে যেটি ভারতীয়দের কাছে কালো আইন নামে পরিচিত। ১৯১৯ সালের ১০ই মার্চ পাস করা হয়েছিল রাওলাট আইন। রাষ্ট্রদ্রোহী কার্যকলাপের সাথে জড়িত কোনো ব্যক্তিকে বিনা বিচারে কারারুদ্ধ বা বন্দি করার জন্য সরকারকে অনুমোদন দেওয়া হয়েছিল সে আইনে। এর অর্থ ছিল ব্রিটিশ সাম্রাজ্যের বিরুদ্ধে কেউ চক্রান্ত করছে এমন সন্দেহ হলেই তাকে বিনা বিচারে দুই বছর পর্যন্ত জেলে বন্দি করে রাখা যাবে।
- ১৯২০ সালে জাতীয় কংগ্রেসের কলকাতার অধিবেশনে গান্ধীজি অসহযোগ আন্দোলনের প্রস্তাব পেশ করেন এবং তা গৃহীত হয়।
⇒ অসহযোগ আন্দোলনের উদ্দেশ্য –
- ব্রিটিশদের দমনমূলক আইনগুলির বিরোধিতা করা। বিশেষ করে রাওলাট আইনকে বিরোধিতা করা ও বর্জন করা।
- ব্রিটিশদের অমানবিক জালিয়ানওয়ালাবাগের হত্যাকাণ্ডের বিরুদ্ধে প্রতিবাদ করা।
- খিলাফত সমস্যার সমাধানের দাবি জানানো।
- এক বছরের মধ্যে স্বরাজ বা স্বাধীনতা অর্জন করা প্রভৃতি।
উল্লেখ্য,
- অসহযোগ আন্দোলনের সমাপ্তি ঘটে ১৯২২ সালের ফেব্রুয়ারি মাসের ৪ তারিখের চৌরিচৌরার একটি ঘটনার মধ্য দিয়ে।
- অসহযোগ আন্দোলন যখন গণআন্দোলনে রূপান্তরের দিকে এগিয়ে চলেছিল তখন উত্তরপ্রদেশের গোরক্ষপুর জেলার চৌরিচৌরা ঘটনার পর ১১ই ফেব্রুয়ারি ১৯২২ সালে গান্ধীজি অসহযোগ আন্দোলন প্রত্যাহার করে নেয়। কারণ এই ঘটনায় ক্ষুদ্ধ জনতা চৌরিচৌরা থানা আক্রমণ করেন এবং এই ঘটনায় ২২ জন পুলিশ নিহত হন।
উৎস: i) বাংলাপিডিয়া।
ii) BBC.
৭২) Which country Is currently under EU sanctions due to democratic backsliding and erosion of rule of law?
Slovenia
Hungary
Portugal
Cyprus
Hungary
ব্যাখ্যা:
Hungary Is currently under EU sanctions due to democratic backsliding and erosion of rule of law.ইউরোপীয় ইউনিয়নের নিষেধাজ্ঞা (EU sanctions):- বর্তমান পরিস্থিতিতে গণতন্ত্রের পশ্চাদপসরণ এবং আইনের শাসনের অবক্ষয়ের কারণে ইউরোপীয় ইউনিয়নের (EU) নিষেধাজ্ঞার আওতায় রয়েছে হাঙ্গেরি।
⇒ গণতান্ত্রিক ব্যাকস্লাইডিং (Democratic Backsliding) হলো এমন একটি প্রক্রিয়া যেখানে গণতন্ত্রের মূল নিয়মগুলো ক্ষতিগ্রস্ত হয় বা অকার্যকর হয়ে পড়ে।
- এতে নির্বাচনী স্বচ্ছতা, বাকস্বাধীনতা, আইনের শাসন এবং মানবাধিকারের মতো মৌলিক গণতান্ত্রিক উপাদানগুলো হ্রাস পায়।
⇒ ইইউ বারবার হাঙ্গেরির প্রধানমন্ত্রী ভিক্টর ওরবানের সরকারের বিরুদ্ধে গণতান্ত্রিক মূল্যবোধ এবং আইনের শাসন লঙ্ঘনের অভিযোগ তুলেছে। বিশেষত, বিচার বিভাগের স্বাধীনতা, গণমাধ্যমের স্বাধীনতা এবং এনজিও-এর কার্যক্রমের উপর নিয়ন্ত্রণের কারণে ইইউ হাঙ্গেরির বিরুদ্ধে সমালোচনা করেছে। ২০১৮ সালে, ইইউ হাঙ্গেরির বিরুদ্ধে আর্টিকল ৭ প্রক্রিয়া শুরু করেছিল, যা গণতান্ত্রিক মূল্যবোধ লঙ্ঘনের কারণে কোনো সদস্য রাষ্ট্রের ভোটাধিকার স্থগিত করার একটি পদক্ষেপ। তবে, এই প্রক্রিয়া এখনও সম্পূর্ণরূপে কার্যকর হয়নি।
- হাঙ্গেরিই বর্তমানে ইইউ-র একমাত্র সদস্য রাষ্ট্র, যার বিরুদ্ধে গণতন্ত্র ও আইনের শাসন ক্ষয়ের অভিযোগে সক্রিয় আর্থিক নিষেধাজ্ঞা কার্যকর রয়েছে। নিষেধাজ্ঞা শিথিল করতে হলে হাঙ্গেরিকে ইইউর শর্তমতো সংস্কার বাস্তবায়ন করতে হবে।
এছাড়াও,
- সম্প্রতি (জুলাই, ২০২৫) রাশিয়ার বিরুদ্ধে ১৬ বারের মতো নিষেধাজ্ঞা আরোপ করেছে ইউরোপীয় ইউনিয়ন (ইইউ)।
উৎস: i) Euro News. [
link]
ii) European Movement Ireland. [
link]
৭৩) To whom was the Balfour Declaration addressed?
David Ben-Gurion
Lord Curzon
Chaim Weizmann
Lord Rothschild
Lord Rothschild
ব্যাখ্যা:
The Balfour Declaration was addressed to Lionel Walter Rothschild.বেলফোর ঘোষণা: - বেলফোর ঘোষণা (Balfour Declaration) ছিল একটি ঐতিহাসিক চিঠি।
- Balfour Declaration বা বেলফোর ঘোষণার নামকরণ সাবেক ব্রিটিশ পররাষ্ট্রমন্ত্রী আর্থার বেলফোরের নামানুসারে।
- ১৯১৭ সালের ২ নভেম্বর আর্থার জেমস বেলফোর এই ঐতিহাসিক চিঠিটি একটি সিল করা খামে ব্যারন লিওনেল ওয়াল্টার রথসচাইল্ডের কাছে পাঠিয়েছিলেন।
- ২ নভেম্বর, ১৯১৭ তারিখে ব্রিটিশ পররাষ্ট্রমন্ত্রী আর্থার বেলফোর ফিলিস্তিনে একটি ইহুদী-আবাসভূমি প্রতিষ্ঠার প্রতিশ্রুতি দিয়ে ব্যারন লিওনেল ওয়াল্টার রথসচাইল্ড (Lord Rothsehild)-কে যে চিঠি লিখেছিলেন তাই ‘Balfour Declaration বা বেলফোর ঘোষণা’ নামে পরিচিত।- পরবর্তীতে জায়নিস্ট তৎপরতা ও তৎকালীন বিশ্বশক্তিসমূহের সমর্থনে এই চিঠি ফিলিস্তিনে ব্রিটিশ ম্যান্ডেটের লীগ অব নেশন্সের দলীলে অন্তর্ভুক্ত হয়ে আন্তর্জাতিক ‘স্বীকৃতি’ লাভ করে।
- ঐ চিঠির উদ্দেশ্য ছিল ইহুদীদের জন্য একটি আবাসভূমি প্রতিষ্ঠা।
- বেলফোর ঘোষণার সাথে আজকের ইহুদী রাষ্ট্র ইসরায়েল প্রতিষ্ঠা সরাসরিভাবে জড়িত।
উল্লেখ্য,
- ১৯১৭ সালের নভেম্বর মাসে তুরস্কের সেনাদের হাত থেকে জেরুজালেম দখল করে ব্রিটেন।
- ১৯১৭ থেকে ১৯৪৮ সাল পর্যন্ত ফিলিস্তিনের ভূমি ব্রিটেনের নিয়ন্ত্রণে ছিল।
- তখন ব্রিটিশ সরকার সিদ্ধান্ত নিয়েছিল যে, ফিলিস্তিনের মাটিতে ইহুদিদের জন্য একটি আলাদা রাষ্ট্র গঠনের জন্য সহায়তা করবে।
- ১৯৪৭ সালে জাতিসংঘ প্যালেস্টাইনে দুটি রাষ্ট্র প্রতিষ্ঠার পরিকল্পনা অনুমোদন করে, যার ফলে ইহুদি রাষ্ট্র ইসরায়েলের প্রতিষ্ঠা হয়।
- ১৯৪৮ সালের ১৪ই মে ফিলিস্তিন ছেড়ে যায় ব্রিটেন, আর ইহুদিরা ঘোষণা করে নিজস্ব রাষ্ট্র ইসরায়েলের।

উৎস: i) Britannica.
ii) BBC.
৭৪) What is the current headquarters of the Bank for International Settlements (BIS)?
London
Now York
Basel
Frankfurt
Basel
ব্যাখ্যা:
Bank for International Settlements (BIS):
- Bank for International Settlements হলো একটি আন্তর্জাতিক আর্থিক প্রতিষ্ঠান যা কেন্দ্রীয় ব্যাংকগুলির জন্য একটি ব্যাংক হিসেবে কাজ করে এবং আন্তর্জাতিক মুদ্রা ও আর্থিক সহযোগিতা বৃদ্ধির লক্ষ্যে কাজ করে।
- এটি বিশ্বের প্রাচীনতম আন্তর্জাতিক আর্থিক প্রতিষ্ঠান।
- প্রতিষ্ঠিত হয়: ১৯৩০ সালে (হেগ সম্মেলনের মাধ্যমে)।
- সদর দপ্তর: বাসেল, সুইজারল্যান্ড।
- এর প্রতিনিধি দপ্তর রয়েছে হংকং এবং মেক্সিকো সিটিতে।
- BIS-এর মূল লক্ষ্য হলো কেন্দ্রীয় ব্যাংকগুলির মধ্যে সহযোগিতা বৃদ্ধি এবং আর্থিক স্থিতিশীলতা নিশ্চিত করা।
- BIS-এর মালিকানা ৬৩টি কেন্দ্রীয় ব্যাংকের হাতে, যারা বিশ্বের প্রায় ৯৫% জিডিপির প্রতিনিধিত্ব করে।
উৎস: BIS ওয়েবসাইট।
৭৫) The term "Global South" refers to:
Countries in the Southern Hemisphere only
Economically advanced nations
Developing and less-Industrialized nations
Atretic countries with low GDP
Developing and less-Industrialized nations
ব্যাখ্যা:
The term "Global South" refers to: Developing and less-Industrialized nations.Global South:- Global South শব্দটি সাধারণত উন্নয়নশীল এবং কম-শিল্পায়িত দেশগুলিকে বোঝায়।
- এই দেশগুলো মূলত আফ্রিকা, ল্যাটিন আমেরিকা, এশিয়া (কিছু অংশ, যেমন: জাপান, দক্ষিণ কোরিয়া, এবং ইসরায়েল বাদে) এবং ওশেনিয়ার (অস্ট্রেলিয়া ও নিউজিল্যান্ড বাদে) কিছু অংশে অবস্থিত।
- গ্লোবাল সাউথভুক্ত দেশগুলোকে কখনও বলা হয় ডেভেলপিং বা উন্নয়নশীল, কখনও লেস ডেভেলপ্ড বা কম উন্নত কিংবা আন্ডার ডেভেলপ্ড বা অনুন্নত।
- সাধারণভাবে বলা যায়, যেসব দেশ অপেক্ষাকৃত দরিদ্র, সে দেশগুলোতে বড় আকারে আয় বৈষম্য রয়েছে। একই সঙ্গে সেসব দেশের মানুষের গড় আয়ু কম।
⇒ মার্কিন আধিপত্যের প্রেক্ষাপটে ১৯৫০-এর দশকে কার্ল ওগলেসবি (Carl Oglesby) প্রথম রাজনৈতিকভাবে 'Global South' এই শব্দটি ব্যবহার করেন।
- সমাজতাত্ত্বিক পিটার ওয়ারসলি ১৯৬৪ সালে একটি বই লিখেন– দ্য থার্ড ওয়ার্ল্ড: অ্যা ভাইটাল নিউ ফোর্স ইন ইন্টারন্যাশনাল অ্যাফেয়ার্স। এই বইয়ের মাধ্যমে তৃতীয় বিশ্ব পরিভাষাটি জনপ্রিয় হয়। বইতে সেই ‘তৃতীয় বিশ্বের’ কথা উল্লেখ রয়েছে, যেগুলো ছিল ন্যাম তথা জোটনিরপেক্ষ আন্দোলন গঠনের মেরুদণ্ড।
অন্যদিকে,
- গ্লোবাল নর্থ (উত্তর আমেরিকা, ইউরোপ, এশিয়া ও ওশেনিয়ার উন্নত দেশ) হলো ধনী দেশ, যেগুলো প্রধানত উত্তর আমেরিকা ও ইউরোপে অবস্থিত।
উল্লেখ্য,
- গ্লোবাল সাউথ পরিভাষাটি ভৌগোলিক কোনো বিষয় নয়। এমনকি গ্লোবাল সাউথের বড় দুটি দেশ চীন ও ভারত পুরোপুরিভাবে উত্তর গোলার্ধে অবস্থিত। বরং গ্লোবাল সাউথ-এর জাতিগুলোর মধ্যে রাজনৈতিক, ভূ-কৌশলগত এবং অর্থনৈতিক মিশ্রণ রয়েছে। গ্লোবাল সাউথের দেশ বেশিরভাগই সাম্রাজ্যবাদ ও ঔপনিবেশিক শাসনের শেষ দিকে ছিল। আফ্রিকান দেশগুলো সম্ভবত এর সবচেয়ে দৃশ্যমান উদাহরণ।
উৎস: i) World atlas. [
link]
ii) প্রথম আলো।
৭৬) What is the objective of the 2025 "Blue Deal" adopted by the UN?
Combat plastic waste
Regulating maritime trade routes
Protect water resources and equitable access
Promote ocean-based tourism
Protect water resources and equitable access
ব্যাখ্যা:
The 2025 "Blue Deal" adopted by the UN aims to protect water resources and ensure equitable access to water for all.Blue Deal:- জাতিসংঘের "ব্লু ডিল" (UN 2025 Water Action Agenda / Blue Deal) হলো জল সংকট মোকাবিলায় একটি বৈশ্বিক কর্মপরিকল্পনা।
- জাতিসংঘের বাণিজ্য ও উন্নয়ন সম্মেলন (UNCTAD) ২০২৩ সালে একটি "Global Blue Deal" প্রস্তাব করেছিল যা সমুদ্রের টেকসই ব্যবহার এবং সুরক্ষার উপর জোর দেয়।
- ২০২৩ সালের UN Water Conference আনুষ্ঠানিকভাবে চালু হয়।
- এটি উন্নয়নশীল দেশগুলোর জন্য সমুদ্র-ভিত্তিক অর্থনীতি (Blue Economy) উন্নয়ন, জলবায়ু পরিবর্তন, দূষণ, এবং অতিরিক্ত মাছ ধরার বিরুদ্ধে ব্যবস্থা গ্রহণের লক্ষ্য নির্ধারণ করে। এর উদ্দেশ্যগুলো হলো:
- এটি ২০৩০ সালের মধ্যে টেকসই উন্নয়ন লক্ষ্যমাত্রা (SDG 6: সবার জন্য পানি ও স্যানিটেশন নিশ্চিতকরণ) অর্জনের জন্য একটি রোডম্যাপ।
এছাড়াও,
- ইউরোপীয় ইকোনমিক অ্যান্ড সোস্যাল কমিটি (ইইএসসি) "ইইউ ব্লু ডিল" নামে একটি প্রস্তাবনা দিয়েছে, যা ইউরোপের জন্য টেকসই জল নীতিমালার একটি রূপরেখা ইইএসসি।
উৎস: UNCTAD ওয়েবসাইট। [
link]
৭৭) Which African country became the newest full member of the Shanghai Cooperation Organization (SCO) in 2025?
Kenya
Egypt
Ethiopia
Nigeria
প্রশ্নটি বাতিল করা হয়েছে
ব্যাখ্যা:
♦ ২০২৫ সাল পর্যন্ত কোনো আফ্রিকান দেশ সাংহাই সহযোগিতা সংস্থার (Shanghai Cooperation Organisation - SCO) পূর্ণ সদস্যপদ লাভ করেনি। আফ্রিকার দেশগুলির মধ্যে SCO‑র ডায়ালগ পার্টনার হিসেবে মিশর উল্লেখযোগ্য একমাত্র রাষ্ট্র, তবে এটির পূর্ণ সদস্য হওয়া সম্ভব হয়নি।
অপশনে সঠিক উত্তর না থাকায় প্রশ্নটি বাতিল করা হলো।
Shanghai Cooperation Organisation (SCO):
- সাংহাই সহযোগিতা সংস্থা (SCO) হলো একটি ইউরেশীয় রাজনৈতিক, অর্থনৈতিক ও নিরাপত্তা সংস্থা।
- এর মূল লক্ষ্য আঞ্চলিক নিরাপত্তা, অর্থনৈতিক সহযোগিতা, এবং রাজনৈতিক স্থিতিশীলতা নিশ্চিত করা।
- গঠিত হয়: ১৫ জুন, ২০০১ সাল।
- সদরদপ্তর: বেইজিং, চীন।
- বর্তমান সদস্য দেশ: ১০টি।
- সদস্য দেশ: রাশিয়া, চীন, ভারত, কাজাখস্তান, কিরগিজস্তান, পাকিস্তান, তাজিকিস্তান, উজবেকিস্তান, ইরান, বেলারুশ।
- সর্বশেষ সদস্য: বেলারুশ।
- বর্তমান মহাসচিব: Nurlan Yermekbayev।
- ২টি পর্যবেক্ষক রাষ্ট্র: আফগানিস্তান, মঙ্গোলিয়া।
উৎস: Shanghai Cooperation Organisation ওয়েবসাইট।
৭৮) Who is the first Bangladeshi female cricketer to score a century in an ODI?
Salma Khatun
Rumana Ahmed
Fargana Hoque
Jahanar Alam
Fargana Hoque
ব্যাখ্যা:
Fargana Hoque became the first Bangladeshi woman cricketer to score an ODI century during the third and final ODI against India.
নারী ওয়ানডে ক্রিকেটে বাংলাদেশে প্রথম সেঞ্চুরিয়ান:
- বাংলাদেশের প্রথম নারী ক্রিকেটার হিসেবে একদিনের আন্তর্জাতিক ম্যাচে সেঞ্চুরি করেছেন ফারজানা হক।
- ভারতের বিপক্ষে তৃতীয় ও শেষ ওয়ানডেতে সেঞ্চুরি করে ১০৭ রানের ইনিংস খেলে বাংলাদেশের ক্রিকেট ইতিহাসে নিজের নাম লিখেন ফারজানা।
- ওয়ানডে ক্রিকেটে এটি বাংলাদেশের দ্বিতীয় সর্বোচ্চ দলীয় রান।
উল্লেখ্য,
- বাছাই পর্বে বাংলাদেশ নারী দলের হয়ে ওয়ানডে ক্রিকেটে প্রথম সেঞ্চুরি করেছেন শারমীন আক্তার।
- প্রথম শ্রেণির নারী ক্রিকেটে বাংলাদেশের প্রথম সেঞ্চুরিয়ান হওয়ার কীর্তি গড়েছেন নিগার সুলতানা।
⇒ বাংলাদেশ নারী ক্রিকেট দল:
- বাংলাদেশ জাতীয় নারী ক্রিকেট দল বাংলাদেশ ক্রিকেট বোর্ড (বিসিবি) দ্বারা পরিচালিত একটি আন্তর্জাতিক নারী ক্রিকেট দল।
- এটি বাংলাদেশকে বিভিন্ন আন্তর্জাতিক প্রতিযোগিতায় প্রতিনিধিত্ব করে।
- বাংলাদেশ নারী ক্রিকেট দল ওয়ানডে স্ট্যাটাস লাভ করে ২০১১ সালে যুক্তরাষ্ট্রকে হারিয়ে।
- এশিয়া কাপের শিরোপা জয় লাভ করে ২০১৮ সালে।
- টেস্ট ক্রিকেটে মর্যাদা পায় ২০২১ সালে ।
- একদিনের আন্তর্জাতিক ক্রিকেটে বাংলাদেশের প্রথম নারী সেঞ্চুরিয়ান ফারজানা হক পিংকি।
উৎস: i) বিসিবি।
ii) The Daily Star.
৭৯) Which company was the first to send a private citizen into space as a tourist?
NASA
SpaceX
Virgin Gainclic
Space Adventures
Space Adventures
ব্যাখ্যা:
The first company to send a private citizen into space as a tourist was Space Adventures.
মহাকাশের প্রথম পর্যটক টিটো:
- বিশ্বের প্রথম মহাকাশ পর্যটক মার্কিন পর্যটক ডেনিস টিটো।
- ২৮ এপ্রিল ২০০১ সালে পৃথিবীর প্রথম পর্যটক মহাকাশযান হিসেবে মহাশূন্যের পথে পাড়ি জমায় রাশিয়ার সয়ুজ টিএম-৩২।
- আন্তর্জাতিক মহাকাশ স্টেশন পরিদর্শন মিশনে তিনি প্রায় আট দিন আইএসএস ইপি-১ এর ক্রু সদস্য হিসেবে কক্ষপথে ছিল।
- এ জন্য তাঁর খরচ হয় ২ কোটি ডলার।
⇒ প্রথম বেসরকারি নাগরিককে পর্যটক হিসেবে মহাকাশে পাঠানো কোম্পানি হলো Space Adventures, Ltd.।
- এই আমেরিকান কোম্পানিটি রাশিয়ার ফেডারেল স্পেস এজেন্সির সঙ্গে সহযোগিতায় ২৮ এপ্রিল ২০০১ সালে ডেনিস টিটোকে রুশ সয়ুজ মহাকাশযানে আন্তর্জাতিক মহাকাশ স্টেশনে (ISS) পাঠায়।
উৎস: i) EBSCO.
ii) BBC.
III) Britannica.
৮০) The term MFS in Bangladesh's financial context stands for:
Monetary Fund System
Mobile Financial Services
Mutual Finance Scheme
Mobile Fund Structure
Mobile Financial Services
ব্যাখ্যা:
In Bangladesh's financial context, the term MFS stands for Mobile Financial Services.
MFS:
- Mobile Financial Services হচ্ছে মোবাইল ফোনের মাধ্যমে অর্থ লেনদেন সেবা।
- মোবাইল নম্বরের বিপরীতে অর্থ লেনদেনের জন্য যে একাউন্ট খোলা হয় তাই MFS হিসাব, যেখানে গ্রাহকের টাকা ইলেকট্রনিক উপায়ে জমা থাকে।
- এটা গ্রাহকদেরকে ব্যাংকিং কার্যক্রমের সাথে মোবাইল নেটওয়ার্ক এর মাধ্যমে সেবা দিয়ে থাকে।
- একজন মোবাইল ফোন ব্যবহারকারী ব্যাংকে না গিয়ে বাড়িতে বসে প্রয়োজনীয় আর্থিক লেনদেন সম্পাদন করতে পারেন।
- বাংলাদেশে অনেক মোবাইল ফিনান্সিয়াল সার্ভিস প্রদানকারী প্রতিষ্ঠান রয়েছে যেমন, বিকাশ, নগদ, উপায়, রকেট, বিনিময় ইত্যাদি।
⇒ এই সেবার মাধ্যমে নিজের MFS একাউন্টে নগদ টাকা জমা করা যায়।
- নিজের একাউন্ট হতে অন্যের MFS একাউন্টে টাকা পাঠানো যায়।
- MFS একাউন্টে জমানো টাকা দিয়ে যে কোন পণ্য ও সেবা কেনাকাটা করা যায়; বিদ্যুৎ গ্যাস পানির বিল, টিউশান ফি ইত্যাদি পরিশোধ করা যায় এবং প্রয়োজনে MFS একাউন্টে জমাকৃত টাকা তোলা যায়।
উৎস: i) Bangladesh Bank.
ii) দ্য ডেইলি স্টার বাংলা।
৮১) The Bay of Bengal Industrial Growth Belt (BIG-B) is an economic initiative launched in collaboration with:
India
China
Japan
Sri Lanka
Japan
ব্যাখ্যা:
The Bay of Bengal Industrial Growth Belt (BIG-B) is an economic initiative launched in collaboration between Bangladesh and Japan.
The Bay of Bengal Industrial Growth Belt (BIG-B):
- বাংলাদেশকে কেন্দ্র করে জাপান সরকারের প্রস্তাবিত বে অব বেঙ্গল ইন্ডাস্ট্রিয়াল গ্রোথ (বিগ-বি) ইনিশিয়েটিভ বিগ-বি নামে পরিচিত।
- এটি ২০১৪ সালে জাপানের তৎকালীন প্রধানমন্ত্রী শিনজো আবে এবং বাংলাদেশের প্রধানমন্ত্রী শেখ হাসিনার টোকিও সম্মেলনে প্রথম প্রস্তাবিত হয়।
- এই উদ্যোগটি "Japan-Bangladesh Comprehensive Partnership"-এর অধীনে বাংলাদেশের অর্থনৈতিক উন্নয়ন ত্বরান্বিত করার লক্ষ্যে গৃহীত হয়েছিল।
⇒ BIG-B উদ্যোগের অধীনে জাপানের সহায়তায় বাংলাদেশে বেশ কিছু গুরুত্বপূর্ণ প্রকল্প বাস্তবায়িত হচ্ছে:
- মাতারবাড়ি গভীর সমুদ্রবন্দর,
- মাতারবাড়ি কয়লাভিত্তিক বিদ্যুৎ কেন্দ্র,
- ঢাকা ম্যাস র্যাপিড ট্রানজিট (মেট্রো রেল),
- ঢাকা-চট্টগ্রাম-কক্সবাজার উপকূলীয় হাইওয়ে,
- চট্টগ্রামে অবকাঠামো উন্নয়ন ইত্যাদি।
উৎস: i) JICA.
ii) প্রথম আলো।
৮২) Which multilateral forum launched a "Global Digital Ethics Charter" in 2025?
United Nations
World Economic Forum
G7
OECD
United Nations
ব্যাখ্যা:
United Nations multilateral forum launched a "Global Digital Ethics Charter" in 2025.
Global Digital Ethics Charter:- ২০২৫ সালের ২৪–২৭ জুন তারিখে, থাইল্যান্ডের ব্যাংককে অনুষ্ঠিত হয় UNESCO-এর ৩য় গ্লোবাল ফোরাম অন দ্য এথিক্স অব আর্টিফিশিয়াল ইন্টেলিজেন্স (AI)।
- এই ফোরামে বিশ্বজুড়ে ডিজিটাল ও কৃত্রিম বুদ্ধিমত্তা নীতিশাস্ত্র (ethics) বিষয়ক গুরুত্বপূর্ণ আলোচনা, নীতিমালা এবং একটি আন্তর্জাতিক সহযোগিতা প্ল্যাটফর্ম গঠনের ঘোষণা দেওয়া হয়।
- এর মূল উদ্দেশ্য ছিল ডিজিটাল প্রযুক্তি ও AI ব্যবহারে নৈতিকতা নিশ্চিত করা।
উল্লেখ্য,
- যদিও এটি Global Digital Ethics Charter নামে প্রকাশিত হয়নি কিন্তু এর মূল উদ্দেশ্য ছিল ডিজিটাল প্রযুক্তি ও AI ব্যবহারে নৈতিকতা নিশ্চিত করা।
- UNESCO-এর ২০২৫ সালের ব্যাংকক ফোরামই এখন ডিজিটাল নৈতিকতা (digital ethics) নিয়ে কাজ করছে।
উৎস: UNESCO ওয়েবসাইট। [
link]
৮৩) The Basel Accords are related to:
Monetary Policy Coordination
Global trade regulation
Banking supervision and risk management
Currency exchange
Banking supervision and risk management
ব্যাখ্যা:
The Basel Accords are related to: Banking supervision and risk management.
Basel Accord:
- বাসেল অ্যাকর্ড (Basel Accord) হলো ব্যাংকিং খাতের জন্য আন্তর্জাতিক নিয়ন্ত্রণ কাঠামো যা Bank for Internatinal Settlements (BIS) এর অধীনে Basel Committee for Banking Supervision (BCBS) দ্বারা প্রণীত।
- এর উদ্দেশ্য হলো ব্যাংকগুলোর আর্থিক স্থিতিশীলতা নিশ্চিত করা, ঝুঁকি ব্যবস্থাপনা উন্নত করা এবং বিশ্বব্যাপী আর্থিক ব্যবস্থার সুরক্ষা জোরদার করা।
- বাসেল অ্যাকর্ড তিনটি প্রধান পর্যায়ে প্রকাশিত হয়: বাসেল-I, বাসেল-II, এবং বাসেল-III.
⇒ বাংলাদেশ ব্যাংক 'ব্যাংক কোম্পানি আইন ১৯৯১' এর ধারা ১৩ এবং ধারা ৪৫ তে ঝুঁকি ভিত্তিক মূলধন নিয়ে নির্দেশনা প্রকাশ করে।
- ব্যাংকিং শিল্পকে মজবুত, গতিশীল করার জন্য বাংলাদেশ ব্যাংক এই নির্দেশনা প্রদান করেছে যাতে মূলধন ঝুঁকির ব্যাপারে প্রত্যেকটি ব্যাংক সর্তক অবস্থানে থাকে।
- ঝুঁকিভিত্তিক মূলধনের ক্ষেত্রে প্রত্যেকটি ব্যাংক "ব্যাসেল -১ (১৯৮৮), ব্যাসেল-২ (২০০৪), ব্যাসেল-৩ (২০১০)" (Basel-1, Basel -2, Basel-3) এর সুপারিশ মেনে চলে।
উৎস: i) Corporate Finance Institute.
ii) ব্যাংক ব্যবস্থাপনা, বাংলাদেশ উন্মুক্ত বিশ্ববিদ্যালয়।
৮৪) Which of the following rulers established Somapura Mahavibara in Paharpur?
Dharmapala
Harshavardhana
Shashanka
Ballal Sen
Dharmapala
ব্যাখ্যা:
The ruler who established Somapura Mahavihara in Paharpur is Dharmapala.
পাহাড়পুর বৌদ্ধ বিহার:
- পাহাড়পুর বৌদ্ধবিহার বা সোমপুর বিহার বা সোমপুর মহাবিহার বর্তমানে ধ্বংসপ্রাপ্ত একটি প্রাচীন বৌদ্ধ বিহার।
- এই মহাবিহার বাংলাদেশের নওগাঁ জেলার বদলগাছি উপজেলায় অবস্থিত।
- পালবংশের দ্বিতীয় রাজা শ্রী ধর্মপালদেব অষ্টম শতকের শেষের দিকে বা নবম শতকে এই বিহার তৈরি করছিলেন।
⇒ সোমপুর বিহার এশিয়া মহাদেশের মধ্যে বৃহত্তম বিহার।
- এর দৈর্ঘ্য পূর্ব-পশ্চিমে ৯১৯ ফুট এবং উত্তর-দক্ষিণে ৯২২ ফুট।
- মূল ভবনে বৌদ্ধ ভিক্ষুদের জন্য ১৭৭টি কক্ষ ছিল।
- ৮০০ জন ভিক্ষুর বাসপোযোগী ছিল।
- এ বিহারে ১২৫নং কক্ষে মাটির পাত্রে খলিফা হারুন-অর-রশিদের শাসনামলের রৌপ্য মুদ্রা পাওয়া যায়।
⇒ পূর্বভারতে জরিপ কাজ পরিচালনাকালে ১৮০৭ ও ১৮১২ সালে বুকানন হ্যামিল্টন সর্ব প্রথম প্রত্নস্থলটি পরিদর্শন করেন।
- পরবর্তীকালে ওয়েস্টম্যাকট পাহাড়পুর পরিভ্রমণে আসেন।
- স্যার আলেকজান্ডার কানিংহাম ১৮৭৯ সালে এ স্থান পরিদর্শন করেন ও ২২ ফুট বর্গাকার একটি ইমারত আবিষ্কার করেন।
- প্রত্নস্থলটি ১৯০৯ সালের পুরাকীর্তি আইনের আওতায় ভারতের প্রত্নতাত্ত্বিক জরিপ বিভাগ কর্তৃক ১৯১৯ সালে সংরক্ষিত পুরাকীর্তি হিসেবে ঘোষিত হয়।
- ১৯৮৫ সালে ইউনেস্কো এটিকে বিশ্ব ঐতিহ্যবাহী স্থানের মর্যাদা দেয়।
উৎস: বাংলাদেশ জাতীয় তথ্য বাতায়ন।
৮৫) As part of its climate diplomacy in 2024, with which country did Bangladesh join to co-chair the Climate Vulnerable Forum (CVF)?
Maldives
Ghana
Kenya
Philippines
Ghana
ব্যাখ্যা:
As part of its climate diplomacy in 2024, with Ghana Bangladesh join to co-chair the Climate Vulnerable Forum (CVF) .
CVF:- Climate Vulnerable Forum জাতিসংঘের জলবায়ু পরিবর্তনজনিত এবং ক্ষতিগ্রস্থ দেশসমূহের একটি সংগঠন।
- প্রতিষ্ঠিত হয়: ২০০৯ সালে।
- সদস্য: ৭৪টি।
- বর্তমান সভাপতি: বার্বাডোস।
উল্লেখ্য,
- বাংলাদেশ ২০২০ সালে CVF-এর সভাপতিত্ব গ্রহণ করে।
- ২০২৪ সালের মাঝামাঝি সময়ে বাংলাদেশ এই সভাপতিত্ব ঘানার কাছে হস্তান্তর করে।
উৎস: i) Climate Vulnerable Forum ওয়েবসাইট।
ii) The Daily Star. [
link]
৮৬) Who was the editor of the influential Bengali literary magazine "Kallol"?
Premendra Mitra
Buddhhadeb Bosu
Kazi Nazrul Islam
Sunil Gangopadhyay
প্রশ্নটি বাতিল করা হয়েছে
ব্যাখ্যা:
♦ 'কল্লোল' পত্রিকার সম্পাদক ছিলেন দীনেশরঞ্জন দাশ ও গোকুলচন্দ্র নাগ। অন্যদিকে, বুদ্ধদেব বসু, প্রেমেন্দ্র মিত্র ও কাজী নজরুল ইসলাম কল্লোল পত্রিকার লেখক ছিলেন কিন্তু সম্পাদনার সাথে যুক্ত ছিলেন না।
অপশনে সঠিক উত্তর না থাকায় প্রশ্নটি বাতিল করা হলো।
'কল্লোল' পত্রিকা:
- অতি আধুনিক লেখকগোষ্ঠীর মুখপাত্র হিসেবে এই পত্রিকাটি ১৯২৩ সালে প্রথম প্রকাশিত হয়।
- কলকাতা থেকে মাসিক 'কল্লোল' পত্রিকা প্রকাশিত হয়েছিল।
- এ পত্রিকার প্রথম সম্পাদক ছিলেন দীনেশরঞ্জন দাশ।
- 'কল্লোল' পত্রিকার লেখক ছিলেন অচিন্ত্যকমার সেনগুপ্ত, শৈলজানন্দ মুখােপাধ্যায়, বুদ্ধদেব বসু, প্রেমেন্দ্র মিত্র, মানিক বন্দ্যোপাধ্যায়, কাজী নজরুল ইসলাম ও মোহিতলাল মজুমদার প্রমুখ।
উৎস: i) বাংলা সাহিত্যের ইতিহাস, মাহবুবুল আলম, বাংলা ভাষা ও সাহিত্য জিজ্ঞাসা, ড. সৌমিত্র শেখর।
ii) বাংলাপিডিয়া।
৮৭) Which international crisis In 2024-2025 has led to a new wave of energy security discussions In Europe?
Taiwan Strait tensions
Ukraine war escalation
Middle East Red Sea conflict
Arctic oil drilling ban
Ukraine war escalation
ব্যাখ্যা:
The escalation of the war in Ukraine in 2022, and the ongoing implications throughout 2024 and 2025, have triggered a new wave of energy security discussions in Europe.ইউক্রেন-রাশিয়া সংঘাত:- ইউক্রেনে ২০২২ সালের যুদ্ধের তীব্রতা এবং ২০২৪ ও ২০২৫ জুড়ে এর চলমান প্রভাব ইউরোপে জ্বালানি নিরাপত্তা নিয়ে নতুন করে আলোচনা শুরু করেছে।
- এই যুদ্ধ বিশ্বজুড়ে জ্বালানির বাজারে অস্থিরতা তৈরি করেছে বিশেষ করে ইউরোপে, যেখানে রাশিয়া থেকে গ্যাসের সরবরাহ কমে যাওয়ায় সংকট তৈরি হয়েছে।
⇒ ২০২২ সালে ইউক্রেনে রাশিয়ার আগ্রাসন শুরু হওয়ার পর, ইউরোপীয় দেশগুলো রাশিয়ার ওপর জ্বালানি নির্ভরতা কমাতে বাধ্য হয়েছে। এর ফলে, তারা অন্যান্য উৎস থেকে গ্যাস এবং তেল আমদানির দিকে ঝুঁকছে। একই সাথে, নবায়নযোগ্য জ্বালানির ব্যবহার বাড়ানোর জন্য নতুন করে পরিকল্পনা করা হচ্ছে।
- এই যুদ্ধের কারণে, ইউরোপের দেশগুলো জ্বালানি নিরাপত্তার জন্য নতুন কৌশল তৈরি করতে বাধ্য হয়েছে। তারা গ্যাস সরবরাহকারী দেশগুলোর সাথে সম্পর্ক উন্নয়নের পাশাপাশি, নিজেদের মধ্যে সহযোগিতা বাড়াচ্ছে। এছাড়া, গ্যাসের মজুদ বাড়াতে এবং গ্যাসের ব্যবহার কমাতে বিভিন্ন পদক্ষেপ নেয়া হচ্ছে।
⇒ রাশিয়া ২০২২ সালের ফেব্রুয়ারিতে ইউক্রেনে সর্বাত্মক হামলা শুরু করে। এর আগে আট বছর পূর্ব ইউক্রেনে রুশপন্থি বিচ্ছিন্নতাবাদীদের সঙ্গে ইউক্রেনীয় বাহিনীর সংঘর্ষ চলছিল। মার্কিন হিসাবে, ২০২২ সালের পর থেকে এই যুদ্ধে ১২ লাখের বেশি মানুষ হতাহত হয়েছে।
উৎস: i) AP News. [
link]
ii) IEA - International Energy Agency.
link]
৮৮) What is the primary objective of the "Global Gateway" Initiative by the European Union?
Climate change adaptatioп
Trade tariff reforms
Infrastructure development
Immigration control
Infrastructure development
ব্যাখ্যা:
The primary objective of the "Global Gateway" Initiative by the European Union - Infrastructure development.
'Global Gateway' initiative:
- ২০২১ সালে ইউরোপীয় ইউনিয়ন এক নতুন উদ্যোগ গ্রহণ করে, যা গ্লোবাল গেটওয়ে নামে পরিচিত।
- ২০২১ সালের ডিসেম্বরে ইউরোপীয়ান কমিশন ও ইউরোপীয়ান হাই রিপ্রেজেন্টেটিভের হাত ধরে চালু হয় গ্লোবাল গেটওয়ে।
- Global Gateway হচ্ছে ইউরোপের নতুন কৌশল, যার মাধ্যমে বিশ্বের বিভিন্ন দেশ ও অঞ্চলের সঙ্গে যোগাযোগ বৃদ্ধির চেষ্টা চালানো হচ্ছে।
- বিশেষ করে, এসব দেশের মধ্যে স্বাস্থ্য, শিক্ষা ও গবেষণা ব্যবস্থাকে শক্তিশালী করাই গেটওয়ের লক্ষ্য।
- একই সঙ্গে যোগাযোগ, জ্বালানি ও ডিজিটাল কমিউনিকেশনকে আরো শক্তিশালী ও নিরাপদ করার মধ্য দিয়ে বিশ্বে ইউরোপীয়ান ইউনিয়নকে ‘এক নতুন শক্তি’ হিসেবে হাজির করার লক্ষ্য নিয়ে এগোনোর চেষ্টা পরিলক্ষিত হচ্ছে।
- গেটওয়ের আওতায় ইউরোপীয়ান ইউনিয়ন প্রায় ৩০০ বিলিয়ন ইউরোর এক বাজেটও ঘোষণা করে।
- ২০২৩ সালের ২৫ ও ২৬ অক্টোবর গ্লোবাল গেটওয়ে ফোরামের প্রথম সম্মেলন অনুষ্ঠিত হয়েছে বেলজিয়ামের ব্রাসেলসে।
⇒ গ্লোবাল গেটওয়ের রয়েছে ৬টি মূলনীতি:
- গণতান্ত্রিক মূল্যবোধ এবং উচ্চ মান,
- সুশাসন এবং স্বচ্ছতা,
- সমান অংশীদারিত্ব,
- সবুজ এবং পরিষ্কার,
- নিরাপত্তা কেন্দ্রিক,
- বেসরকারি খাতকে অনুঘটক করা।
উৎস: European Commission ওয়েবসাইট।
৮৯) Which country mediated the 2024 consefire agreement between Israel and Hamas?
United States
Egypt
Turkeу
Qatar
Qatar
ব্যাখ্যা:
The 2024–2025 ceasefire agreement between Israel and Hamas was primarily mediated by Qatar.হামাস এবং ইসরায়েল যুদ্ধবিরতি চুক্তি:- গাজায় ১৫ মাসের যুদ্ধের অবসান ঘটাতে জানুয়ারি, ২০২৫-এ হামাস এবং ইসরায়েল একটি যুদ্ধবিরতি চুক্তিতে পৌঁছেছে।
- যুদ্ধবিরতিতে মধ্যস্থতা করেছে কাতার।- "কাতারের প্রধানমন্ত্রীর সাথে হামাস এবং ইসরায়েলের মধ্যস্থতাকারীদের মধ্যে পৃথক বৈঠকের পর উভয় পক্ষ গাজায় যুদ্ধবিরতি এবং জিম্মিদের মুক্তি দেয়ার বিষয়ে চুক্তিতে সম্মত হয়েছে"।
- এই চুক্তির ফলে গাজা শহর এবং দক্ষিণ গাজা থেকে লক্ষ লক্ষ বাস্তুচ্যুত ফিলিস্তিনিরা এখন তাদের নিজেদের ঘরে ফিরে যেতে পারবেন।
উল্লেখ্য,
- ২০২৩ সালের ৭ই অক্টোবর হামাস ইসরায়েলে হামলা চালিয়ে ১২০০ জনকে হত্যা করে এবং ২৫১ জনকে জিম্মি করে গাজায় নিয়ে যায়।
- এরপর থেকে গাজায় ইসরায়েল ব্যাপক হামলা চালানো শুরু করে।
এছাড়াও,
- মার্কিন যুক্তরাষ্ট্র (U.S.) ও মিশর (Egypt) এই আলোচনায় সহ-সহযোগী মধ্যস্থতাকারী হিসেবে গুরুত্বপূর্ণ ভূমিকা পালন করে।
উৎস: i) BBC. [
link]
ii) Reuters.
৯০) In 2025, the term "De-dollarization" most commonly refers to:
Halting U.S. foreign aid
Reducing dependency on the U.S. dollar in global trade
Sanctioning U.S. companies
Limiting U.S. defense exports
Reducing dependency on the U.S. dollar in global trade
ব্যাখ্যা:
In 2025, the term "De-dollarization" most commonly refers to: Reducing dependency on the U.S. dollar in global trade.
De-dollarization:
- ডি-ডলারাইজেশন (De-dollarization) হলো আন্তর্জাতিক বাণিজ্য, আর্থিক লেনদেন, এবং রিজার্ভ মুদ্রা হিসেবে মার্কিন ডলারের উপর নির্ভরতা কমানোর প্রক্রিয়া।
- এটি এমন একটি প্রবণতা যেখানে দেশগুলো বা অর্থনৈতিক জোটগুলো মার্কিন ডলারের পরিবর্তে অন্য মুদ্রা, স্থানীয় মুদ্রা, বা বিকল্প ব্যবস্থা (যেমন, স্বর্ণ, ক্রিপ্টোকারেন্সি) ব্যবহারের দিকে ঝুঁকছে।
- এটি ভূ-রাজনৈতিক, অর্থনৈতিক, এবং কৌশলগত কারণে চালিত হয়।
⇒ উদ্দেশ্য:
- মার্কিন ডলারের প্রভাব এবং মার্কিন নিষেধাজ্ঞার প্রভাব কমানো।
- স্থানীয় মুদ্রায় বাণিজ্য বৃদ্ধি এবং বৈদেশিক মুদ্রার ঝুঁকি হ্রাস।
- আর্থিক স্বাধীনতা ও সার্বভৌমত্ব জোরদার করা।
উৎস: i) Investopedia.
ii) US News Money.
৯১) Which of the following is an operating system?
Microsoft Word
Google Chrome
PowerPoint
Linux
Linux
ব্যাখ্যা:
• Operating system (OS) হলো এমন একটি সফটওয়্যার যা কম্পিউটারের হার্ডওয়্যার ও সফটওয়্যারের মধ্যে সংযোগ স্থাপন করে এবং সিস্টেম পরিচালনা করে। প্রদত্ত অপশনগুলো থেকে "ঘ) Linux" একটি অপারেটিং সিস্টেম। Linux হলো একটি ওপেন সোর্স অপারেটিং সিস্টেম যা বিভিন্ন ধরনের কম্পিউটার, সার্ভার ও মোবাইল ডিভাইসে ব্যবহৃত হয়। অন্যদিকে, ক) Microsoft Word একটি ওয়ার্ড প্রসেসিং সফটওয়্যার, খ) Google Chrome একটি ওয়েব ব্রাউজার এবং গ) PowerPoint একটি প্রেজেন্টেশন তৈরির সফটওয়্যার। এগুলো অপারেটিং সিস্টেম নয়, বরং অ্যাপ্লিকেশন সফটওয়্যার যা অপারেটিং সিস্টেমের সাহায্যে চলে।
• অপারেটিং সিস্টেম:
কম্পিউটারকে স্বয়ংক্রিয়ভাবে পরিচালনা ও নিয়ন্ত্রণের জন্য যে প্রোগ্রাম বা প্রোগ্রাম সমষ্টি ব্যবহার করা হয় তাকে অপরেটিং সিস্টেম বলা হয়।
• অপারেটিং সিস্টেমের প্রকারভেদ-
অপারেটিং সিস্টেমকে দুই ভাগে ভাগ করা হয়। যথা-
১। বর্ণভিত্তিক অপারেটিং সিস্টেম (Text Based Operating System),
২। চিত্রভিত্তিক অপারেটিং সিস্টেম (Graphics Based Operating System).
• বর্ণ বা টেক্সটভিত্তিক অপারেটিং সিস্টেম:
- MS-DOS,
- PC DOS,
- CP/M, ইত্যাদি।
• চিত্রভিত্তিক বা গ্রাফিক্যাল অপারেটিং সিস্টেম:
- Windows 95/98/Xp/2000/7,
- Mac OS, ইত্যাদি।
উৎস: বিবিএ প্রোগ্রাম, মৌলিক কম্পিউটার শিক্ষা।
৯২) Which one Is used for encrypting data for secure communication over a network?
VPN
Firewall
SSL
Proxy
SSL
ব্যাখ্যা:
• নিরাপদ যোগাযোগের জন্য ডেটা এনক্রিপ্ট করার ক্ষেত্রে SSL (Secure Sockets Layer) ব্যবহৃত হয়। SSL একটি নিরাপত্তা প্রযুক্তি যা ইন্টারনেটের মাধ্যমে পাঠানো ডেটা এনক্রিপ্ট করে, যাতে তৃতীয় পক্ষ ডেটা পড়তে বা পরিবর্তন করতে না পারে। এটি বিশেষ করে ওয়েবসাইট, ইমেইল, অনলাইন লেনদেন ইত্যাদিতে নিরাপদ যোগাযোগ নিশ্চিত করে। উদাহরণস্বরূপ, HTTPS ওয়েবসাইটগুলো SSL ব্যবহার করে ডেটা সুরক্ষিত করে। অন্যদিকে, VPN ইন্টারনেট ট্রাফিক লুকিয়ে রাখে, Firewall অবাঞ্ছিত এক্সেস প্রতিরোধ করে, আর Proxy মূল সার্ভারের ঠিকানা গোপন রাখে। তবে এনক্রিপশনের জন্য SSL-ই সরাসরি ব্যবহৃত হয়।• SSL:- SSL এর পূর্ণরূপ Secure Sockets Layer.
- SSL Certificate হলো একটি ডিজিটাল সার্টিফিকেট যা একটি ওয়েবসাইটের নিরাপত্তা নিশ্চিত করে।
- SSL একটি নিরাপত্তা প্রোটোকল যা একটি ওয়েব সার্ভার এবং একটি ওয়েব ব্রাউজারের মধ্যে একটি এনক্রিপ্ট করা লিংক তৈরি করে।
- এটি অনলাইন লেনদেন সুরক্ষিত করার ক্ষেত্রে এবং গ্রাহকের তথ্য গোপন ও সুরক্ষিত রাখতে কোম্পানি এবং সংস্থাগুলোর ওয়েবসাইটে ব্যবহৃত হয়।
• ই-কমার্সে SSL এর ভূমিকা:- ক্রেডিট কার্ড তথ্য, পাসওয়ার্ড এবং পার্সোনাল ডাটা এনক্রিপ্ট করে।
- অনলাইন পেমেন্ট ট্রান্সাকশন সুরক্ষিত রাখে।
- গ্রাহকদের বিশ্বাস অর্জনের জন্য SSL সার্টিফিকেট থাকা গুরুত্বপূর্ণ।
- SSL সাইটগুলিকে Google বেশি অগ্রাধিকার দেয়, ফলে SEO উন্নত হয়।
উৎস:
kaspersky [লিংক]
৯৩) Want is the primary goal of edge computing?
Reduce cloud storage costs
Improve Internet bandwidth
Bring computation closer to the data source
Increase data center size
Bring computation closer to the data source
ব্যাখ্যা:
• Edge computing-এর প্রধান লক্ষ্য হলো ডেটার উৎসের কাছাকাছি কম্পিউটেশন আনা। এটি মূলত গ) Bring computation closer to the data source। এর মাধ্যমে ডেটা বিশ্লেষণ, প্রসেসিং এবং সিদ্ধান্ত গ্রহণ দ্রুত সম্পন্ন করা যায়, কারণ ডেটা কেন্দ্র বা ক্লাউডে পাঠানোর প্রয়োজন পড়ে না। এতে করে latency কমে, রিয়েল-টাইম রেসপন্স সম্ভব হয় এবং ইন্টারনেট ব্যান্ডউথের ওপর চাপ কম পড়ে। যদিও ক্লাউড স্টোরেজ খরচ কমানো বা ব্যান্ডউথ উন্নত করার সুবিধা পাওয়া যায়, তবে এগুলো প্রাথমিক উদ্দেশ্য নয়। একইভাবে ডেটা সেন্টার বড় করা edge computing-এর লক্ষ্য নয়। মূল লক্ষ্য হলো সময়মতো দ্রুত ও কার্যকর তথ্য বিশ্লেষণ নিশ্চিত করা।• Edge computing:- Edge computing-এর মূল লক্ষ্য হলো ডেটা উৎস (যেমন সেন্সর, IoT ডিভাইস, স্মার্টফোন) এর কাছাকাছি কম্পিউটিং প্রসেসিং করা। এতে করে ডেটা ক্লাউড বা সেন্ট্রাল সার্ভারে পাঠানোর পূর্বেই প্রাথমিক প্রসেসিং সম্পন্ন করা যায়। এর ফলে:
- Latency কমে: ডেটা দ্রুত প্রসেস হওয়ায় রিয়েল-টাইম রেসপন্স সম্ভব হয়।
- Bandwidth খরচ কমে: সব ডেটা ক্লাউডে পাঠানোর দরকার হয় না, ফলে ইন্টারনেট ব্যান্ডউইথ কম ব্যবহার হয়।
- Security বাড়ে: লোকালি ডেটা প্রসেসিং-এর মাধ্যমে ডেটা ট্রান্সমিশনের সময় ঝুঁকি কমে।
- Cloud storage খরচ কমলেও, এটা প্রাথমিক উদ্দেশ্য নয়, বরং একটি পার্শ্বপ্রতিক্রিয়া।
সূত্র:
techtarget [লিংক]
৯৪) Which of the following software is used for managing databases?
MS Excel
Adobe Render
Oracle
AutoCAD
Oracle
ব্যাখ্যা:
• ডেটাবেজ ম্যানেজমেন্টের জন্য উল্লিখিত অপশনগুলোর মধ্যে সঠিক উত্তর হলো গ) Oracle. Oracle একটি জনপ্রিয় ডেটাবেস ম্যানেজমেন্ট সফটওয়্যার (DBMS) যা বড়, মাঝারি এবং ছোট প্রতিষ্ঠানে ডেটা সংরক্ষণ, পরিচালনা ও বিশ্লেষণ করার জন্য ব্যবহৃত হয়। এটি রিলেশনাল ডেটাবেস মডেল অনুসরণ করে এবং মাল্টি-ইউজার এনভায়রনমেন্টে দক্ষতার সঙ্গে কাজ করতে সক্ষম। অন্যদিকে, MS Excel মূলত স্প্রেডশিট তৈরির জন্য, Adobe Render গ্রাফিকস ও ভিডিও রেন্ডারিংয়ের জন্য এবং AutoCAD ডিজাইন ও ড্রাফটিংয়ের কাজে ব্যবহৃত হয়। তাই ডেটাবেস ম্যানেজমেন্টের জন্য Oracle-ই উপযুক্ত।
• ডাটাবেজ:
- ডাটাবেজ হলো সংগৃহীত ডাটা যা একই সময়ে ডাটা সংরক্ষণ এবং ব্যবস্থাপনার মাধ্যমে অনেক এ্যাপ্লিকেশন কিংবা নির্দিষ্ট কোন এ্যাপ্লিকেশনকে সেবা প্রদানের জন্য সংগঠিত হয়।
- ডাটাবেজ হচ্ছে সেই সকল ডাটা বা তথ্যের সমষ্টি যাদের পরস্পরের মধ্যে সম্পর্ক রয়েছে।
যেমন- ভোটার তালিকায় সংরক্ষিত ভোটারদের তথ্যসমূহ, কোন কোম্পানির কর্মচারীদের ব্যক্তিগত ফাইলের রেকর্ডসমূহ ইত্যাদি ডাটাবেজ ফাইলে সংরক্ষণ করা যায়।
অর্থাৎ ডাটাবেজ হচ্ছে ডাটাসমৃদ্ধ এক বা একাধিক ফাইলের সমষ্টি।
- ডাটাবেজ এর ব্যবহার বর্তমানে কম্পিউটারের ব্যাপক প্রচলনের ফলে ব্যক্তিগত তথ্যাবলি থেকে শুরু করে বিভিন্ন প্রতিষ্ঠানের যাবতীয় তথ্যাবলি, হিসাব-নিকাশ ইত্যাদি কম্পিউটারে ডাটাবেজ আকারে সংরক্ষণ করে রাখা হয় এবং সমস্ত ডাটাবেজ বিভিন্ন কাজে ব্যবহার করা যায়।
• ডাটাবেজের বিভিন্ন উপাদান:
- ডাটা (Data),
- রেকর্ড (Record),
- ফিল্ড (Field) ও
- ডাটা টেবিল (Data Table)।
• রিলেশনাল ডাটাবেজ ম্যানেজমেন্ট সিস্টেম (RDBMS):
- একাধিক টেবিলের সম্পর্কযুক্ত ডাটার সমষ্টিকেই রিলেশনাল ডাটাবেজ বলা হয়।
- RDBMS হলো এমন একটি ডাটাবেজ সিস্টেম যেখানে একাধিক টেবিল থাকে।
- এই টেবিলগুলোর মধ্যে নির্দিষ্ট ফিল্ডের মাধ্যমে সম্পর্ক (Relation) তৈরি করা হয়।
- আধুনিক সময়ের প্রায় সব ডাটাবেজ সফটওয়্যারই RDBMS ভিত্তিক।
• জনপ্রিয় RDBMS সফটওয়্যারসমূহ:
- Microsoft Access,
- Oracle,
- MySQL,
- SQL Server,
- Informix.
উৎস:
১) তথ্য ও যোগাযোগ প্রযুক্তি, বাংলাদেশ উন্মুক্ত বিশ্ববিদ্যালয়।
২) তথ্য ও যোগাযোগ প্রযুক্তি, এইচএসসি প্রোগ্রাম, বাংলাদেশ উন্মুক্ত বিশ্ববিদ্যালয়।
৯৫) Which protocol is used to transfer web pages on the internet?
FTP
HTTP
SMTP
SNMP
HTTP
ব্যাখ্যা:
• ইন্টারনেটে ওয়েব পেজ স্থানান্তরের জন্য HTTP (HyperText Transfer Protocol) ব্যবহার করা হয়। এটি ক্লায়েন্ট ও সার্ভারের মধ্যে ডেটা আদান-প্রদানের একটি নিয়মাবলি নির্ধারণ করে। যখন ব্যবহারকারী ব্রাউজারে কোনও ওয়েবসাইটের URL টাইপ করে, তখন ব্রাউজার HTTP প্রোটোকলের মাধ্যমে সার্ভারে অনুরোধ পাঠায় এবং সার্ভার সেই অনুরোধের ভিত্তিতে ওয়েব পেজের তথ্য পাঠায়। এইভাবে ওয়েব পেজ ব্রাউজারে প্রদর্শিত হয়। অন্যদিকে, FTP ফাইল স্থানান্তরে, SMTP ইমেইল প্রেরণে, আর SNMP নেটওয়ার্ক ডিভাইস পর্যবেক্ষণে ব্যবহৃত হয়। তাই সঠিক উত্তর হলো খ) HTTP.
• HTTP:
- HTTP এর পূর্ণরূপ হচ্ছে "Hyper Text Transfer Protocol".
- এটি হলো একটি অ্যাপ্লিকেশন লেবেল প্রোটোকল যা ওয়েবে সার্ভার এবং ক্লায়েন্ট কম্পিউটারের মধ্যে ডেটা আদান-প্রদান করে থাকে।
- ইন্টারনেটের বিকাশকালে ১৯৮৯ সালে একজন ব্রিটিশ কম্পিউটার বিজ্ঞানী হাইপারটেক্সট ট্রান্সফার প্রটোকল (http) ব্যবহার করে তথ্য ব্যবস্থাপনার প্রস্তাব করেন এবং তা বাস্তবায়ন করেন।
- সেই থেকে স্যার টিমোথি জন 'টিম বার্নার্স-লি (Tim Berners Lee) (জন্ম জুন ৮, ১৯৫৫) ওয়ার্ল্ড ওয়াইড ওয়েবের (www) জনক হিসেবে পরিচিত।
- নেটওয়ার্ক প্রযুক্তির বিকাশের ফলে বিশ্বের নানান দেশের মধ্যে ইন্টারনেট বিস্তৃত হয়।
- ইন্টারনেটকে কেন্দ্র করে একটি শক্তিশালী অর্থনৈতিক ব্যবস্থা গড়ে ওঠে এবং বিকশিত হয় বিভিন্ন ধরনের অ্যাপ্লিকেশন সফটওয়্যার।
• HTTP এর কাজ:
- সার্ভারের সাথে ব্রাউজারের যোগাযোগ করে।
- ব্রাউজারের যেকোনো অনুরোধ সার্ভারে পৌঁছে দেয়।
- সার্ভার থেকে প্রয়োজনীয় তথ্য, ইমেজ ব্রাউজারে নিয়ে আসে।
উৎস:
১. তথ্য ও যোগাযোগ প্রযুক্তি, একাদশ-দ্বাদশ শ্রেণি, মাহবুবুর রহমান।
২. ব্রিটানিকা।
৯৬) What is the function of the BIOS in a computer?
Connects to the internet
Manages software updates
Initializes hardware during booting
Handles graphic rendering
Initializes hardware during booting
ব্যাখ্যা:
• BIOS (Basic Input/Output System) কম্পিউটারের একটি গুরুত্বপূর্ণ ফার্মওয়্যার যা কম্পিউটার চালু হওয়ার সময় হার্ডওয়্যার প্রস্তুত করে। এটি মাদারবোর্ডের সাথে সংযুক্ত থাকে এবং বুটিংয়ের শুরুতেই প্রসেসর, র্যাম, কীবোর্ড, ডিস্ক ড্রাইভসহ অন্যান্য হার্ডওয়্যার সঠিকভাবে কাজ করছে কি না তা পরীক্ষা করে। BIOS প্রথমে POST (Power-On Self Test) চালায় এবং এরপর অপারেটিং সিস্টেম লোড করার জন্য স্টোরেজ ডিভাইস নির্ধারণ করে। এটি কম্পিউটার চালুর জন্য প্রাথমিক ধাপ সম্পন্ন করে থাকে। তাই, প্রশ্নের উত্তর হলো: গ) Initializes hardware during booting। BIOS ইন্টারনেট সংযোগ, সফটওয়্যার আপডেট বা গ্রাফিক্স রেন্ডারিংয়ের কাজ করে না।
• BIOS:
- BIOS এর পূর্ণরূপ হলো- Basic Input/Output System.
- কম্পিউটারে BIOS সংরক্ষিত থাকে - মাদারবোর্ডের ROM চিপে।
- কম্পিউটার Boot হওয়ার পরপরই যে প্রোগ্রামটি Run হয় সেটি হল BIOS.
- অর্থাৎ, BIOS এর প্রাথমিক কাজ হচ্ছে Boot process নিয়ন্ত্রণ করা।
- এটি System BIOS, ROM BIOS, PC BIOS হিসেবে পরিচিত।
- কম্পিউটারের মাদারবোর্ডের ফার্মওয়্যার চিপের মধ্যে থাকা কতগুলো নির্দেশনার সমষ্টি হল BIOS.
- BIOS মাধ্যমে কম্পিউটারের সিস্টেম কনফিগারেশন নির্ধারণ করা হয়।
উৎস: ব্রিটানিকা।
৯৭) Which of the following is not a type of volatile memory?
RAM
Resistors
SSD
Cache
SSD
ব্যাখ্যা:
• ভোলাটাইল মেমোরি হল এমন একটি মেমোরি যা পাওয়ার অফ করলে তার মধ্যে থাকা তথ্য মুছে যায় বা হারিয়ে যায়। এর মধ্যে RAM, Cache ইত্যাদি অন্তর্ভুক্ত থাকে। RAM (Random Access Memory) একটি ভোলাটাইল মেমোরি, কারণ এটি কম্পিউটার চালু থাকা অবস্থায় তথ্য সংরক্ষণ করে। Cache- ও RAM-এর মতো দ্রুত এবং অস্থায়ী তথ্য সংরক্ষণের মাধ্যম। কিন্তু Resistors একটি ইলেকট্রনিক উপাদান, মেমোরি নয়, তাই এটি ভোলাটাইল বা নন-ভোলাটাইল বলতে হয় না। আর SSD (Solid State Drive) হল একটি নন-ভোলাটাইল স্টোরেজ ডিভাইস, যা পাওয়ার বন্ধ হলেও তথ্য সংরক্ষণ করে। তাই SSD ভোলাটাইল মেমোরির অংশ নয়।
• ভোলাটাইল বা উদ্বায়ী মেমরি:
- বিদ্যুৎ সরবরাহ বন্ধ হয়ে গেলে যে মেমরির তথ্য মুছে যায় তাকে উদ্বায়ী স্মৃতি বা ভোলাটাইল মেমরি বলে।
- যেমন- RAM।
• নন-ভোলাটাইল মেমরি বা অনুদ্বায়ী মেমরি:
- বিদ্যুৎ সরবরাহ বন্ধ হয়ে গেলে যে মেমরির তথ্য মুছে যায় না তাকে অনুদ্বায়ী স্মৃতি বা নন-ভোলাটাইল মেমরি বলে। যেমন- ROM।
• ধ্বংসাত্মক মেমরি:
- যদি কোনো মেমরি পঠনের পর সংরক্ষিত তথ্য মুছে যায় তাহলে তাকে ধ্বংসাত্মক মেমরি বলা হয়।
- যেমন- চৌম্বক কোর মেমরি।
• অধ্বংসাত্মক মেমরি:
- যদি পঠনের পর সংরক্ষিত তথ্য মুছে না যায় তাহলে তাকে অধ্বংসাত্মক মেমরি বলে।
- যেমন- চৌম্বক টেপ।
উৎস: মৌলিক কম্পিউটার শিক্ষা, বিবিএ প্রোগ্রাম, উন্মুক্ত বিশ্ববিদ্যালয়।
৯৮) What is the full form of VPN?
Virtual Private Network
Visual Protected Node
Verified Personal Network
Virtual Protected Network
Virtual Private Network
ব্যাখ্যা:
• VPN এর পূর্ণরূপ হলো Virtual Private Network (ক)। এটি একটি নিরাপদ নেটওয়ার্ক ব্যবস্থা যা ইন্টারনেটের মাধ্যমে ব্যক্তিগত তথ্য গোপন রেখে সংযোগ স্থাপন করে। VPN ব্যবহার করলে ব্যবহারকারীর ডেটা এনক্রিপ্ট করা হয় এবং তাদের আইপি ঠিকানা লুকানো থাকে, ফলে অনলাইন গোপনীয়তা ও নিরাপত্তা বাড়ে। এটি পাবলিক ওয়াই-ফাই বা অন্য অননুমোদিত নেটওয়ার্ক ব্যবহার করার সময় তথ্য সুরক্ষার জন্য খুবই গুরুত্বপূর্ণ।
• VPN:
- VPN-এর পূর্ণরূপ Virtual Private Network.
- পাবলিক নেটওয়ার্ক বা ইন্টারনেটে যেহেতু পৃথিবীর সবাই সংযুক্ত তাই এখানে তথ্যের গোপনীয়তা ফাঁস হয়ে যাওয়ার একটা ঝুঁকি থাকে।
- যেহেতু ইন্টারনেট ব্যবহার করে সরাসরি তথ্য আদান প্রদানের ক্ষেত্রে তথ্যের গোপনীয়তা ফাঁস হয়ে যাওয়ার একটা ঝুঁকি থাকে, তাই ইন্টারনেট ব্যবহার করে নিজের নেটওয়ার্কে সংযুক্ত হওয়ার নিরাপদ পদ্ধতি হলো VPN.
- এ পদ্ধতিতে ব্যবহারকারী এবং প্রাইভেট নেটওয়ার্ককে সংযুক্ত করার জন্য ইন্টারনেটে একটি কাল্পনিক সুড়ঙ্গ তৈরি হয়।
- VPN সংযুক্ত কম্পিউটার বা ডিভাইসটির আসল আইপি (Internet Protocol) ঠিকানা গোপন করে এবং ইন্টারনেট ট্রাফিক এবং ডাটা একটি ব্যক্তিগত এবং সুরক্ষিতভাবে এনক্রিপ্ট করা টানেলের মাধ্যমে সর্বজনীন নেটওয়ার্কগুলির মাধ্যমে রাউটিং করে।
- VPN অতি দ্রুত সময়ে জনপ্রিয় হওয়ার কারণ হচ্ছে এ নেটওয়ার্ক আপনার ব্যক্তিগত পরিচয়, অবস্থান বা ডাটা না দিয়ে ইন্টারনেট ব্রাউজ করার একটি উপায় তৈরি করে।
- VPN টানেলের ভেতরে যখন ডাটা এনক্রিপ্ট করা হয় তখন আইএসপি, অনুসন্ধান ইঞ্জিন, বিপণনকারী, হ্যাকার এবং অন্যরা ওয়েবে আপনার ক্রিয়াকলাপ দেখতে বা ট্র্যাক করতে পারে না।
তথ্যসূত্র - টেলিকমিনিকেশন এবং নেটওয়ার্ক, এমবিএ প্রোগ্রাম, বাংলাদেশ উন্মুক্ত বিশ্ববিদ্যালয়।
৯৯) Which computer technology helps analyze space tourism mission data for future improvements?
Image compression
Big Data analytics
File sharing software
Spreadsheet templates
Big Data analytics
ব্যাখ্যা:
• বিগত কয়েক বছরে স্পেস ট্যুরিজম মিশনের তথ্য বিশ্লেষণে সবচেয়ে কার্যকর প্রযুক্তি হলো বিগ ডেটা অ্যানালিটিক্স। স্পেস মিশন থেকে প্রচুর পরিমাণে তথ্য সংগ্রহ করা হয়, যা সাধারণ পদ্ধতিতে বিশ্লেষণ করা কঠিন। বিগ ডেটা অ্যানালিটিক্স এই বিশাল তথ্যকে দ্রুত ও কার্যকরভাবে প্রক্রিয়াকরণ করে। এটি স্পেস ট্যুরিজমের পারফরম্যান্স, নিরাপত্তা, ও প্রযুক্তিগত উন্নতির জন্য মূল্যবান অন্তর্দৃষ্টি প্রদান করে। এর মাধ্যমে ভবিষ্যতের মিশনে কোথায় উন্নতি করা দরকার, কোন প্রযুক্তি উন্নত করা যেতে পারে, তা নির্ধারণ করা সহজ হয়। তাই স্পেস ট্যুরিজম মিশনের তথ্য বিশ্লেষণে বিগ ডেটা অ্যানালিটিক্স অন্যতম প্রধান প্রযুক্তি।- সঠিক উত্তর: খ) Big Data analytics.• বিগ ডাটা অ্যানালিটিকস (Big Data Analytics) কী?:- বিগ ডাটা অ্যানালিটিকস হলো একটি প্রযুক্তি যা বিশাল পরিমাণ ডাটা সংগ্রহ, বিশ্লেষণ এবং অর্থপূর্ণ তথ্য তৈরি করার প্রক্রিয়া। আজকের ডিজিটাল যুগে এত বড় ডাটা তৈরি হয় যে, ঐ ডাটা গুলোকে সাধারণ পদ্ধতিতে বিশ্লেষণ করা সম্ভব হয় না। বিগ ডাটা অ্যানালিটিকস এই কাজ সহজ করে দেয়।
• স্পেস ট্যুরিজম মিশনে বিগ ডাটা অ্যানালিটিকসের ভূমিকা:- স্পেস ট্যুরিজম বা মহাকাশ পর্যটন মিশনে প্রচুর পরিমাণে ডাটা তৈরি হয়। যেমন:
- রকেটের স্পিড, তাপমাত্রা, ভেনটিলেশন, শক্তি খরচের তথ্য,
- যাত্রীর শারীরিক অবস্থা, যেমন হার্টবিট, শ্বাস-প্রশ্বাস,
- মহাকাশের পরিবেশের ডাটা,
- স্যাটেলাইট থেকে নেওয়া ছবি এবং সেন্সর ডাটা।
- এই ডাটা গুলো খুব বড়, জটিল এবং বিভিন্ন ফরম্যাটে থাকে। এগুলোকে বুঝে ওঠা, সমস্যা খুঁজে বের করা এবং ভবিষ্যতে মিশন আরও উন্নত করার জন্য বিশ্লেষণ করা দরকার।
• বিগ ডাটা অ্যানালিটিকস প্রযুক্তি ব্যবহার করে এই ডাটা গুলোকে সংগ্রহ, সংরক্ষণ এবং প্রসেস করা হয়। তারপর উন্নত অ্যালগরিদম এবং মেশিন লার্নিং মডেল ব্যবহার করে ডাটা থেকে নতুন তথ্য পাওয়া যায়। যেমন:
- কোন অংশে যন্ত্রাংশ বেশি সমস্যা করছে?
- যাত্রীর স্বাস্থ্যের কোন নির্দিষ্ট ধাপ খেয়াল রাখতে হবে?
- মিশনের খরচ কমানোর উপায় কী হতে পারে?
- পরিবেশগত ঝুঁকি কমানোর কৌশল কী?
সূত্র:
ibm [লিংক]
১০০) What is n 'deepfake'?
A fake headline
An Ai-generated realistic image, audio, or video of a person
A fake social medial post
A malfunction in deep-sea communication
An Ai-generated realistic image, audio, or video of a person
ব্যাখ্যা:
• ‘Deepfake’ হল কৃত্রিম বুদ্ধিমত্তা (AI) ব্যবহার করে তৈরি করা একটি বাস্তবসম্মত ছবি, অডিও বা ভিডিও যা আসলে মিথ্যা এবং কোনও ব্যক্তির নকল রূপান্তর। এটি সাধারণত পরিচিত কোনো ব্যক্তির মুখ বা কণ্ঠস্বরের মাধ্যমে এমন কনটেন্ট তৈরি করে যা মনে হয় বাস্তব, কিন্তু প্রকৃতপক্ষে এটি সম্পূর্ণ ভুয়া। Deepfake প্রযুক্তি ব্যবহৃত হয় মিথ্যা তথ্য ছড়াতে বা কারও নামে ভুল বোঝানো ভিডিও বানাতে, যা সামাজিক বা রাজনৈতিক পরিস্থিতিতে বিভ্রান্তি সৃষ্টি করতে পারে। তাই, deepfake হলো AI-তৈরি এমন কনটেন্ট যা বাস্তবের মতো হলেও মিথ্যা। সঠিক উত্তর হল: খ) An Ai-generated realistic image, audio, or video of a person.• কৃত্রিম বুদ্ধিমত্তা (Artificial Intelligence - AI):- কৃত্রিম বুদ্ধিমত্তা বা Artificial Intelligence (AI) হচ্ছে বিজ্ঞান এবং প্রযুক্তির সমন্বয়।
- মানুষ যেভাবে চিন্তা করে তেমনি কৃত্রিম উপায়ে কম্পিউটারে সেভাবে চিন্তা ভাবনার রূপদান করাকে কৃত্রিম বুদ্ধিমত্তা বা Artificial Intelligence (AI) বলে।
- ১৯৫৬ সালে যুক্তরাষ্ট্রের MIT এর John McCarthy সর্বপ্রথম আর্টিফিশিয়াল ইন্টেলিজেন্স শব্দটি উল্লেখ করেন।
- তবে আর্টিফিশিয়াল ইন্টেলিজেন্সের জনক হিসেবে কম্পিউটার বিজ্ঞানী অ্যালান টুরিং-কেও ধরে নেয়া হয়। কারন ১৯৫০ সালে তাঁর করা টুরিং টেস্ট আর্টিফিশিয়াল ইন্টেলিজেন্সের ভিত্তি স্থাপন করে।
- তবে অনন্য প্রতিভাবান অ্যালান টুরিং পদার্থবিজ্ঞানের জনক হিসেবেই বেশি সমাদৃত। আর কম্পিউটার বিজ্ঞানী জন ম্যাকার্থীকেই অধিকাংশের মতে কৃত্রিম বুদ্ধিমত্তার জনক হিসেবে ধরে নেয়া হয়।
- AI এর প্রধান উদ্দেশ্য হলো কম্পিউটারকে উন্নত করা যাতে কম্পিউটার চিন্তা করার ক্ষমতা, পাশাপাশি দেখতে পারা, শুনতে পারা, হাঁটা এবং অনুভব করার ক্ষমতা পায়।
- আর্টিফিশিয়াল ইন্টেলিজেন্সের আওতায় বেশ কিছু ক্ষেত্র রয়েছে, যার মধ্যে উল্লেখযোগ্য হচ্ছে: মেশিন লার্নিং, রোবটিক্স, কম্পিউটার ভিশন, ন্যাচারাল ল্যাঙ্গুয়েজ প্রসেসিং (NLP), স্পিচ প্রসেসিং ইত্যাদি।
উৎস:
১. তথ্য ও যোগাযোগ প্রযুক্তি, এইচএসসি প্রোগ্রাম, বাংলাদেশ উন্মুক্ত বিশ্ববিদ্যালয়।
২. তথ্য ও যোগাযোগ প্রযুক্তি, একাদশ-দ্বাদশ শ্রেণি, মাহবুবুর রহমান।
৩.
Britannica [লিংক]